GM Service Manual Online
For 1990-2009 cars only

MANUAL UPDATE CHART C-2B DRIVEABILITY & EMISS. CODE 44

VEHICLES AFFECTED: 1988-89 2.8L/3.1L (VIN T, W) A,J,L,W

This bulletin adds CHART C-2B (Idle Air Control Circuit) to Section 6E "Driveability And Emissions" of the Service Manual for the 1988 "J" carline and the 1989 "A", "J", "L" and "W" carlines with 2.8L LB6 (VIN W) and 3.1L LHO (VIN T) engines.

This bulletin also revises Code 44 - Oxygen Sensor Circuit (Lean Exhaust Indicated) facing page "Diagnostic Aids" in Section 6E in the above mentioned service manuals. Code 44 may set as a result of a fault in the Idle Air Control (IAC) Circuit.

CODE 44 OXYGEN SENSOR CIRCUIT (LEAN EXHAUST INDICATED) 2.8L (VIN W) & 3.1 L (VIN T) "A","J","L","W" CARLINE (PORT)

Circuit Description:

The ECM supplies a voltage of about .45 volt between terminals "Al6" and "A22". (If measured with a 10 megohm digital voltmeter, this may read as low as .32 volt.) The 02 sensor varies the voltage within a range of about 1 volt if the exhaust is rich, down through about .10 volt if exhaust is lean.

The sensor is like an open circuit and produces no voltage when it is below about 315 DEG C (600 DEG F). An open sensor circuit or cold sensor causes "Open Loop" operation.

Test Description: Numbers below refer to circled numbers on the diagnostic chart.

Code 44 will set if:

Voltage on CKT 412 remains below .2 volt for 60 seconds or more;

The system is operating in "Closed Loop."

Diagnostic Aids:

Using the "Scan," observe the block learn values at different rpm and air flow conditions. The "Scan" also displays the block cells, so the block learn values can be checked in each of the cells to determine when the Code 44 may have been set. If the conditions for Code 44 exists the block learn values will be around 150.

Idle Air Control (IAC) Valve A faulty IAC circuit can set a Code 44. Use CHART C-2B to verify proper operation of IAC valve.

O2 Sensor Wire Sensor pigtail may be mispostioned and contacting the exhaust manifold.

Check for intermittent ground in wire between connector and sensor.

Lean Iniector(s) Perform injector balance test CHART C-2A.

Fuel Contamination Water, even in small amounts, near the in-tank fuel pump inlet can be delivered to the injectors. The water causes a lean exhaust and can set a Code 44.

Fuel Pressure System will be lean if pressure is too low. It may be necessary to monitor fuel pressure while driving the car at various road speeds and/or loads to confirm. See "Fuel System Diagnosis" CHART A-7.

Exhaust Leaks If there is an exhaust leak, the engine can cause outside air to be pulled into the exhaust and past the sensor. Vacuum or crankcase leaks can cause a lean condition.

If the above are OK, it is a faulty oxygen sensor.

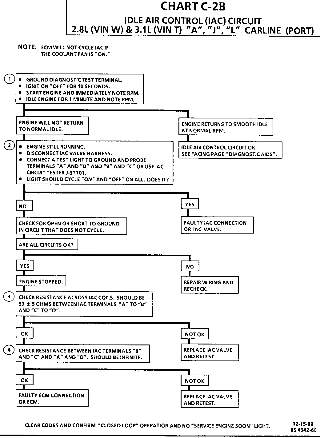
IDLE AIR CONTROL (IAC) CIRCUIT 2.8 L (VIN W) & 3.1L (VIN T) "A", "J", "L" CARLINE (PORT)

Circuit Description:

Code 35 will set when the closed throttle engine speed is 300 rpm above or below the desired (commanded) idle speed for 50 seconds. Review the general description of the IAC operation in Section "C2".

Test Description: Numbers below refer to circled numbers on the diagnostic chart.

1. Continue with test even if engine will not idle. If idle is too low, "Scan" will display 80 or more counts, or steps. If idle is high it will display "0" counts. Occasionally an erratic or unstable idle may occur. Engine speed may vary 200 rpm or more up and down. Disconnect IAC. If the condition is unchanged, the IAC is not at fault. There is a system problem.

2. Be sure to disconnect the IAC valve prior to this test. The test light will confirm the ECM signals by a steady or flashing light on all circuits.

3. IAC wiring is routed from the ECM through a mini harness. Faulty connection or shorted wires could result in poor IAC operation.

4. This test checks for an internal short between the IAC coils.

Diagnostic Aids:

A slow unstable idle may be caused by a system problem that cannot be overcome by the IAC. "Scan" counts will be above 80 counts if idle is too low and "0" counts if it is too high.

System too lean (high air/fuel ratio)

Idle speed may be too high or too low. Engine speed may vary up and down, disconnecting IAC does not help. This may set Code 44.

"Scan" and/or voltmeter will read an oxygen sensor output less than 300 mV (.3 volt). Check for low regulated fuel pressure or water in fuel. A lean exhaust with an oxygen sensor output fixed above 800 mV (.8 volt) will be a contaminated sensor, usually silicone. This may also set a Code 45 or 6l.

System too rich (low air/fuel ratio)

Idle speed too low. "Scan" counts usually above 80. System obviously rich and may exhibit black smoke exhaust.

"Scan" tool and/or voltmeter will read an oxygen sensor signal fixed above 800 mV (.8 volt). Check:

- For fuel in pressure regulator hose - High fuel pressure - Injector leaking or sticking.

Throttle body Remove IAC and inspect bore for foreign material or evidence of IAC valve dragging the bore.

A/C compressor or relay failure See CHART C-10 if the A/C control relay drive circuit is shorted to ground or, if the relay is faulty, an idle problem may exist.

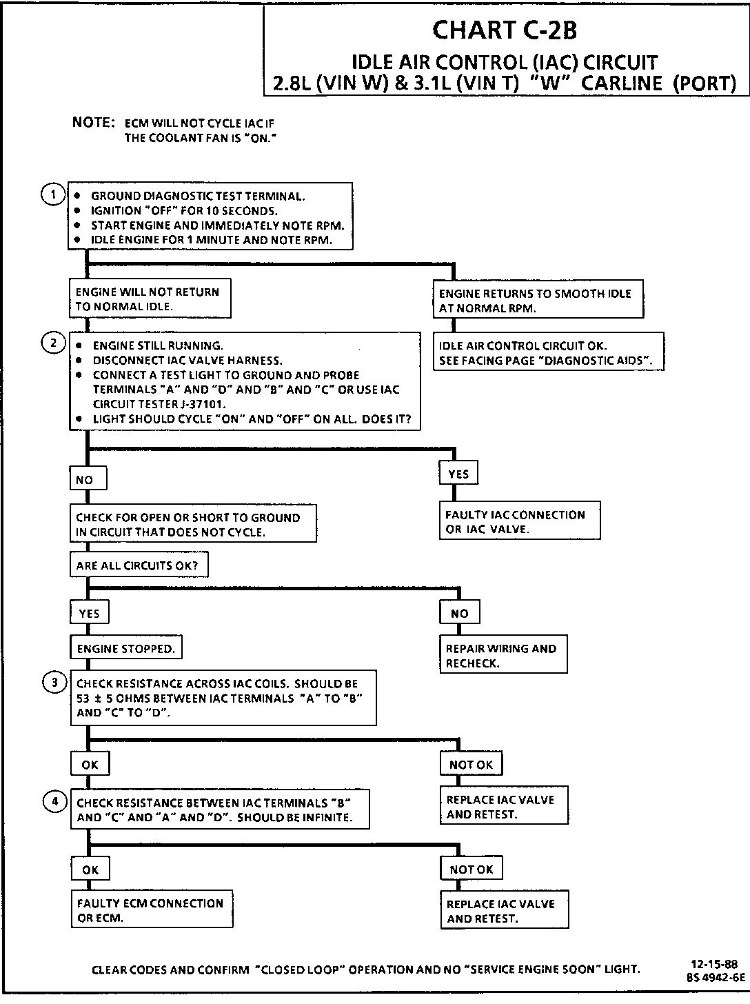
Refer to "Rough, Unstable, Incorrect Idle or Stalling" in "Symptoms" in Section "B". CHART C-2B IDLE AIR CONTROL (IAC) CIRCUIT 2.8L (VIN W) & 3.1 L (VIN T) "W" CARLINE (PORT)

Circuit Description:

Code 35 will set when the closed throttle engine speed is 300 rpm above or below the desired (commanded) idle speed for 50 seconds. Review the general description of the IAC operation in Section "C2".

Test Description: Numbers below refer to circled numbers on the diagnostic chart.

1. Continue with test even if engine will not idle. If idle is too low, "Scan" will display 80 or more counts, or steps. If idle is high it will display "0" counts. Occasionally an erratic or unstable idle may occur. Engine speed may vary 200 rpm or more up and down. Disconnect IAC. If the condition is unchanged, the IAC is not at fault. There is a system problem.

2. Be sure to disconnect the IAC valve prior to this test. The test light will confirm the ECM signals by a steady or flashing light on all circuits.

3. IAC wiring is routed from the ECM through a mini harness. Faulty connection or shorted wires could result in poor IAC operation.

4. This test checks for an internal short between the IAC coils.

Diagnostic Aids:

A slow unstable idle may be caused by a system problem that cannot be overcome by the IAC. "Scan" counts will be above 80 counts if idle is too low and "0" counts if it is too high.

System too lean (high air/fuel ratio)

Idle speed may be too high or too low. Engine speed may vary up and down, disconnecting IAC does not help. This may set Code 44.

"Scan" and/or voltmeter will read an oxygen sensor output less than 300 mV (.3 volt). Check for low regulated fuel pressure or water in fuel. A lean exhaust with an oxygen sensor output fixed above 800 mV (.8 volt) will be a contaminated sensor, usually silicone. This may also set a Code 45 or 61.

System too rich (low air/fuel ratio) Idle speed too low. "Scan" counts usually above 80. System obviously rich and may exhibit black smoke exhaust.

"Scan" tool and/or voltmeter will read an oxygen sensor signal fixed above 800 mV (.8 volt).

Check:

- For fuel in pressure regulator hose - High fuel pressure - Injector leaking or sticking.

Throttle body Remove IAC and inspect bore for foreign material or evidence of IAC valve dragging the bore.

A/C compressor or relay failure See CHART C-10 if the A/C control relay drive circuit is shorted to ground or, if the relay is faulty, an idle problem may exist.

Refer to "Rough, Unstable, Incorrect Idle or Stall ing" in "Symptoms" in Section "B".


Object Number: 79716  Size: FS


Object Number: 79715  Size: FS


Object Number: 85772  Size: FS


Object Number: 80967  Size: FS


Object Number: 82566  Size: FS

General Motors bulletins are intended for use by professional technicians, not a "do-it-yourselfer". They are written to inform those technicians of conditions that may occur on some vehicles, or to provide information that could assist in the proper service of a vehicle. Properly trained technicians have the equipment, tools, safety instructions and know-how to do a job properly and safely. If a condition is described, do not assume that the bulletin applies to your vehicle, or that your vehicle will have that condition. See a General Motors dealer servicing your brand of General Motors vehicle for information on whether your vehicle may benefit from the information.