GM Service Manual Online
For 1990-2009 cars only

CODE 59/DRIVEABILITY COMPLAINT LOOSE ENGINE OR ECM GROUND

CODE E59 OR E059

VEHICLES AFFECTED: 1985-87 DE VILLE AND FLEETWOOD ----------------- 1986-87 ELDORADO AND SEVILLE

Some 1985-1987 De Villes/Fleetwoods or 1986-1987 Eldorados and Sevilles may experience an intermittent or hard Code E59 or E059. This ECM Code may be accompanied by and one or more of the following symptoms:

o Engine may stop running at idle when accessory loads are applied.

o Engine miss or backfire.

o Intermittent engine won't crank.

The ECM Code E59 or E059 may be caused by a loose/poor ECM ground CKT450) or engine ground connection.

On 1985-1987 De Villes/Fleetwoods, the ECM ground connection (CKT450) is located at G101 on left front fender and the engine ground G100 is located at lower front of engine - near starter motor.

On 1986-1987 Eldorados and Sevilles, the ECM ground connection (CKT450) is located at G100 at right front engine compartment ahead of battery, and engine ground G103 is located at lower front of engine near starter motor.

To repair this condition, clean and tighten loose/poor ground connection to the stud with a star washer and nut.

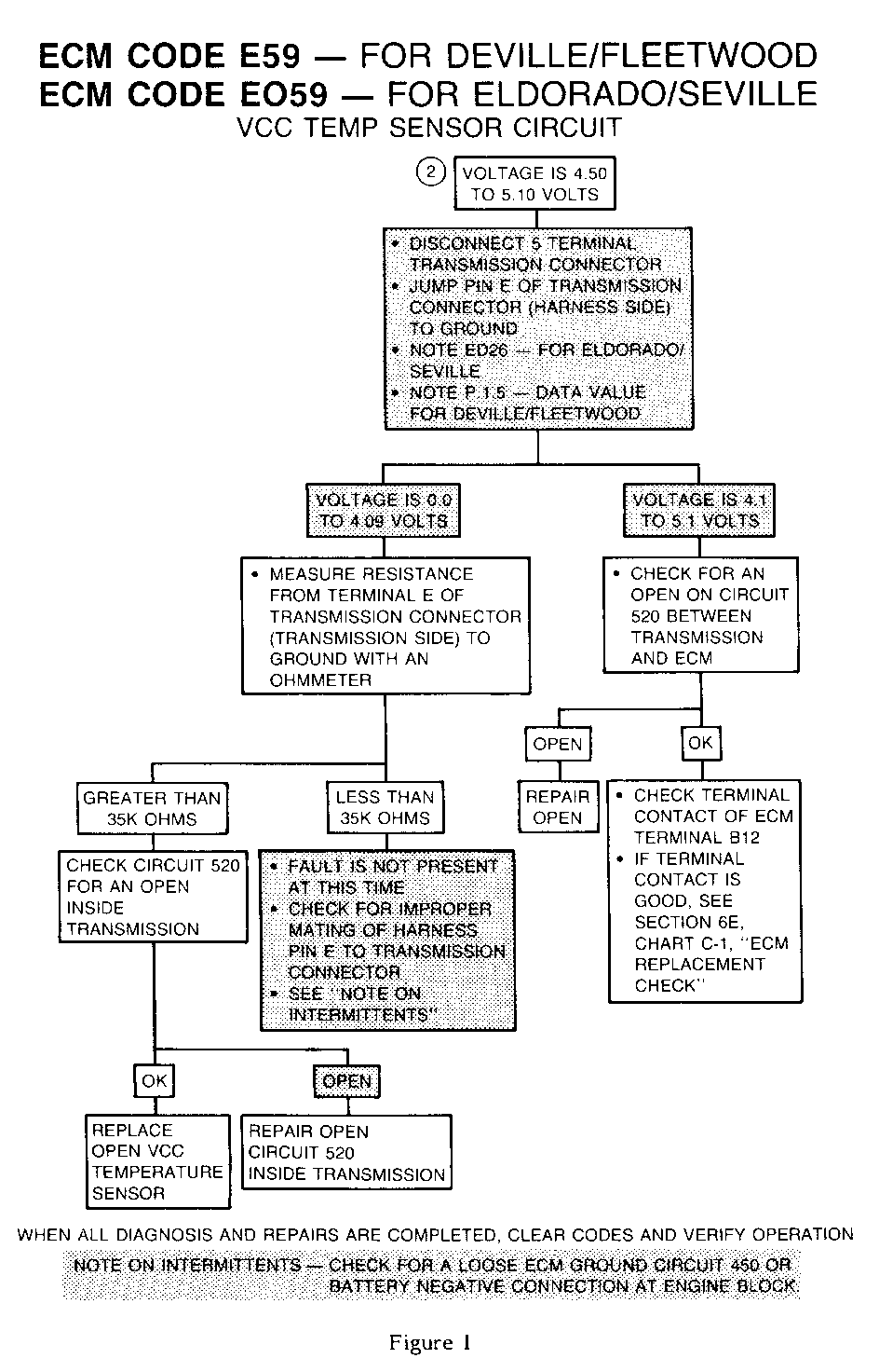
The following revised diagnostic procedure for Step 2 only in trouble Code E59 or E59 should be used for all 1986-1987 De Villes/Fleetwoods, Eldorados and Sevilles in place of Step 2 listed in the Final Edition Service Information Manuals (see Figure 1).

For warranty purposes, use Labour Operation T6240 at .2 hour.


Object Number: 87963  Size: FS

General Motors bulletins are intended for use by professional technicians, not a "do-it-yourselfer". They are written to inform those technicians of conditions that may occur on some vehicles, or to provide information that could assist in the proper service of a vehicle. Properly trained technicians have the equipment, tools, safety instructions and know-how to do a job properly and safely. If a condition is described, do not assume that the bulletin applies to your vehicle, or that your vehicle will have that condition. See a General Motors dealer servicing your brand of General Motors vehicle for information on whether your vehicle may benefit from the information.