GM Service Manual Online
For 1990-2009 cars only

INOP.ANALOG OR DIGITAL CLUSTER DIAG/REPAIR,TIGHTEN GRND BOLT

SUBJECT: INOPERATIVE ANALOG OR DIGITAL CLUSTER

MODELS AFFECTED: 1992 ELDORADOS AND SEVILLES

This bulletin supersedes T-92-91 which should be discarded. This bulletin is being revised to change the procedure on the trouble tree.

Some 1992 Eldorados and Sevilles may experience an inoperative analog or digital cluster.

This condition may be caused by loose ground G304 which is located in the left-hand kick panel. If this ground is loose, the cluster could be damaged as a result of operating other components sharing this ground (such as: power window switch, LF outside mirror, power mirror switch, shift interlock solenoid, and LH door flood light).

To repair this condition perform the following procedure:

1. Check for good terminal connection at ground G304. Refer to Figure 1 for G304 location.

2. If ground G304 is loose/damaged, repair and tighten the ground bolt to 9.0 Nm (6.6 lbs. ft.) and exchange the cluster using the procedure found in Dealer Service Information Bulletin 92-1-1.

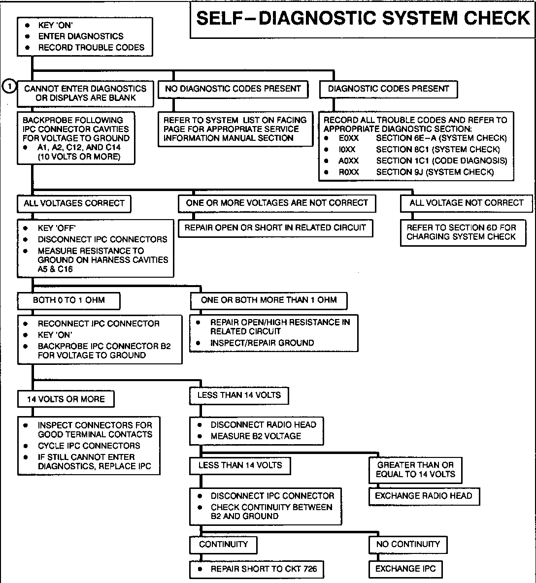
3. If ground G304 is tight, follow trouble tree diagnosis in Section 8D-9 of the 1992 Final Edition Service Information Manual. Refer to Figure 2.

For warranty purposes use Labor Operation T6645 at .6 hour.


Object Number: 83924  Size: FS


Object Number: 82612  Size: FS


Object Number: 82611  Size: FS

General Motors bulletins are intended for use by professional technicians, not a "do-it-yourselfer". They are written to inform those technicians of conditions that may occur on some vehicles, or to provide information that could assist in the proper service of a vehicle. Properly trained technicians have the equipment, tools, safety instructions and know-how to do a job properly and safely. If a condition is described, do not assume that the bulletin applies to your vehicle, or that your vehicle will have that condition. See a General Motors dealer servicing your brand of General Motors vehicle for information on whether your vehicle may benefit from the information.