GM Service Manual Online
For 1990-2009 cars only

INTERIOR LIGHT STAYS ON (NEW DIAGNOSTIC PROCEDURE)

SUBJECT: INTERIOR LIGHTS STAY ON FOR TEN MINUTES

MODELS AFFECTED: 1993 FLEETWOOD BROUGHAMS

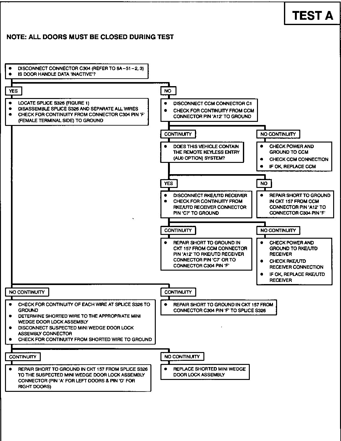
Some 1993 Fleetwood Broughams may exhibit a condition where the interior lights (door courtesy and roof rail courtesy lamps) stay ON for 10 minutes after the doors are closed and/or the ignition key is turned ON. This condition may be caused by a short to ground condition in wiring circuit(s) 149,156, 157, 158, and/or 159.

To diagnose/repair these condition(s) perform system check diagnostic procedure as specified on page 2 of this bulletin.

NOTE: Condition must be present when following this system check If condition is not present, manipulate related wirings to duplicate condition. Check for intermittent short to ground in circuit(s) 149, 156, 157, 158, and/or 159.

When using the Tech 1 to diagnose the above condition(s), the Mass Storage Cartridge Body Systems Version 1.2 or higher must be used. Figure 1 below identifies the general vehicle location of both Splice S326 and Splice S319. For warranty purposes use applicable Labor Operations (depending on which repair operations are performed) specified in the Labor Time Guide.


Object Number: 83112  Size: FS


Object Number: 81226  Size: FS


Object Number: 83111  Size: FS


Object Number: 81225  Size: FS


Object Number: 81224  Size: FS


Object Number: 81223  Size: FS

General Motors bulletins are intended for use by professional technicians, not a "do-it-yourselfer". They are written to inform those technicians of conditions that may occur on some vehicles, or to provide information that could assist in the proper service of a vehicle. Properly trained technicians have the equipment, tools, safety instructions and know-how to do a job properly and safely. If a condition is described, do not assume that the bulletin applies to your vehicle, or that your vehicle will have that condition. See a General Motors dealer servicing your brand of General Motors vehicle for information on whether your vehicle may benefit from the information.