GM Service Manual Online
For 1990-2009 cars only

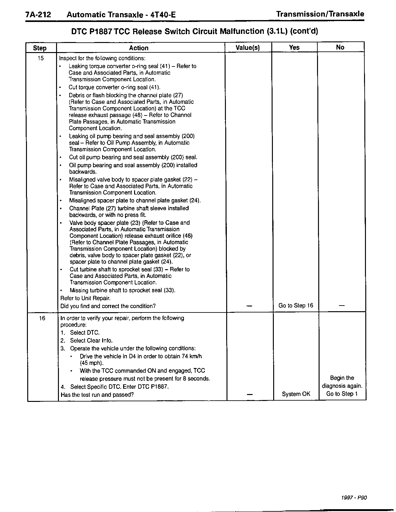
SMU-SEC. 7A-AUTO TRANS/ TRANSAXLE - DTC742/TCC

SUBJECT: SERVICE MANUAL UPDATE-SECTION 7A-AUTOMATIC TRANSMISSION/ TRANSAXLE - DTC P0742/TCC STUCK ON AND DTC P1887/ TCC RELEASE SWITCH CIRCUIT MALFUNCTION

MODELS: 1997 CHEVROLET CAVALIER, MALIBU 1997 OLDSMOBILE CUTLASS 1997 PONTIAC SUNFIRE 1997 TOYOTA CAVALIER WITH HYDRA-MATIC 4T40-E TRANSAXLE (RPO MN4) AND WITH 2.2L, 2.4L, 3.1L ENGINE (VINS 4, T, M--RPOS LN2, LD9, L82)

ATTACHED ARE THE NEW UPDATED PAGES OF THE 1997 SERVICE MANUAL SECTION 7A.

ADD THESE PAGES TO YOUR 1997 SERVICE MANUAL.

J CAR - REVISED PAGES ARE: 7A-160, 7A-161, 7A-192, 7A-193, 7A-194

P90 (N CAR) - REVISED PAGES ARE: 7A-148, 7A-149, 7A-152, 7A-153, 7A-206, 7A-207, 7A-208, 7A-210, 7A-211, 7A-212

FIGURES: 00 ATTACHMENTS: 15


Object Number: 335410  Size: FS


Object Number: 335412  Size: FS


Object Number: 335414  Size: FS


Object Number: 335416  Size: FS


Object Number: 335418  Size: FS


Object Number: 335420  Size: FS


Object Number: 335422  Size: FS


Object Number: 335424  Size: FS


Object Number: 335426  Size: FS


Object Number: 335428  Size: FS


Object Number: 335430  Size: FS


Object Number: 335432  Size: FS


Object Number: 335434  Size: FS


Object Number: 335436  Size: FS


Object Number: 335438  Size: FS

GENERAL MOTORS BULLETINS ARE INTENDED FOR USE BY PROFESSIONAL TECHNICIANS, NOT A "DO-IT-YOURSELFER". THEY ARE WRITTEN TO INFORM THOSE TECHNICIANS OF CONDITIONS THAT MAY OCCUR ON SOME VEHICLES, OR TO PROVIDE INFORMATION THAT COULD ASSIST IN THE PROPER SERVICE OF A VEHICLE. PROPERLY TRAINED TECHNICIANS HAVE THE EQUIPMENT, TOOLS, SAFETY INSTRUCTIONS AND KNOW-HOW TO DO A JOB PROPERLY AND SAFELY. IF A CONDITION IS DESCRIBED, DO NOT ASSUME THAT THE BULLETIN APPLIES TO YOUR VEHICLE, OR THAT YOUR VEHICLE WILL HAVE THAT CONDITION. SEE A GENERAL MOTORS DEALER SERVICING YOUR BRAND OF GENERAL MOTORS VEHICLE FOR INFORMATION ON WHETHER YOUR VEHICLE MAY BENEFIT FROM THE INFORMATION.

COPYRIGHT 1997. GENERAL MOTORS CORPORATION. ALL RIGHTS RESERVED.