GM Service Manual Online
For 1990-2009 cars only

RADIO PHONE/MOBILE RADIO INST. AND TROUBLESHOOTING GUIDELINES

Subject: RADIO TELEPHONE/MOBILE RADIO INSTALLATION AND TROUBLESHOOTING GUIDELINES

Model and Year: 1993 ALL PASSENGER CARS AND TRUCKS

The following Radio Telephone/Mobile Radio information is being provided to Chevrolet dealers to assist with installation and troubleshooting of Radio Telephones/Mobile Radios. To provide the best Chevrolet customer satisfaction for use of a Radio Telephone, Chevrolet dealers are encouraged to use and make this information available to outside installers. Should the attached not resolve a Radio Telephone related problem, Chevrolet dealers are encouraged to contact the Technical Assistance Network (TAN).

Radio Telephone/Mobile Radio - Installation Guidelines ------------------------------------------------------ Certain radio telephones or and mobile radios or the way in which they are installed may adversely affect the vehicle operations such as the performance of the engine and driver information, entertainment and electrical charging systems. Expenses incurred to protect the vehicle systems from any adverse effect of any such installation are not the responsibility of General Motors Corporation. The following are general guidelines for installing a radio telephone or land mobile radio in General Motors vehicles. These guidelines are intended to supplement, but not to be used in place of, detailed instructions for such installations which are the sole responsibility of the manufacturer of the involved radio telephone or land mobile radio.

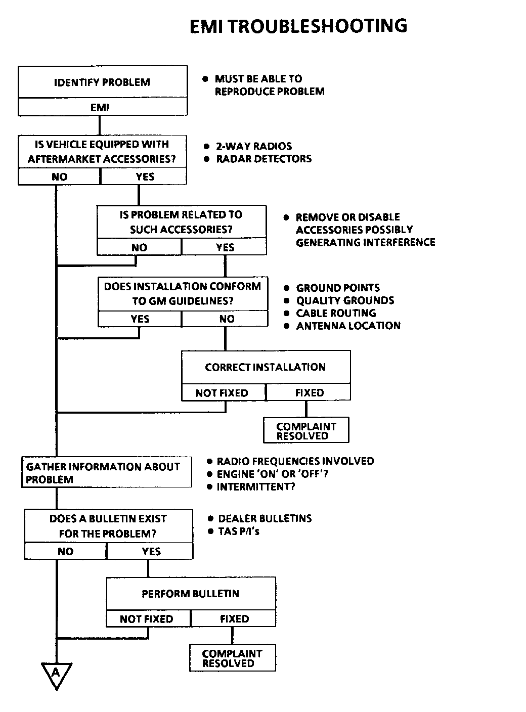
INSTALLATION GUIDELINE (refer to enclosed figures during installation)

1. Transceiver Location A. Locate transceiver for remote radios on driver's side of trunk as near to the vehicle body side as possible.

B. One piece transceivers should be mounted under dash or on transmission hump where they will not interfere with vehicle controls or passenger movement.

C. Great care should be taken not to mount any transceivers, microphones, speakers or any other item in the deployment path of a Supplemental Inflatable Restraint or "Air Bag".

2. Antenna Installation A. The antenna should be a permanent-mount type located in the center of the roof or center of the rear deck lid. Glass mounted antennas should be kept as high as possible in the center of the rear window or windshield. If a magnet-mount antenna in used, care should be taken to mount the antenna in the same location as a permanent-mount type. If a disguise-mount antenna is used, great care should be taken to shield the tuning network from vehicle electronics and wiring, or to mount the tuning network in an area completely clear of vehicle electronics and wiring.

B. Standard metal mount antennas may be mounted on a vehicle with nonmetallic body panels by two methods. Most nonmetallic skinned vehicles have metal frames underneath. Mounting the antenna near a metal frame section and bonding the antenna mount to the frame with a short metal strap will provide the groundplane connection. Some antenna manufacturers offer "groundplane kits" that consist of self adhesive metal foil that may be attached to the body panel to provide the groundplane for the antenna.

C. Some vehicles use glass that contains a thin metallic coating for defrosting or to control solar gain. Glass mount antennas will NOT function when mounted on this type of glass. Consult your GM dealer or owner's manual to determine if this glass is installed on your vehicle.

D. Each vehicle model and body style reacts to radio frequency energy differently. When dealing with an unfamiliar vehicle, it is suggested that a magnetic-mount antenna be used to check the proposed antenna location for unwanted effects on the vehicle. Antenna location is a major factor in these effects.

3. Antenna Cable Routing A. Always use a high quality coax (at least 95 % shield coverage) located away from the Engine Control Module and other electronic modules.

B. Care should be taken to maintain as great a distance as possible between any vehicle wiring and the feedline.

4. Antenna Tuning

A. It is important that the antenna be tuned properly and reflected power be kept to less than 10 % (VSWR less than 2:1).

5. Radio Wiring and Connection Locations

A. BOTH Transceiver power lead connections should be made directly to the battery itself. On vehicles equipped with a "jump start terminal", the positive lead may be connected to the terminal, but the negative lead should still be connected to the battery. GM approved methods of connecting auxiliary wiring to a side terminal battery include the adapter package illustrated in Figure 2, NAPA-Belden replacement battery bolts (part # 728198), or drilling and tapping the hex end of the original battery bolts 10-32 X 3/8" deep.

NOTE: It is recommended that a fuse be placed in the transceiver negative lead to prevent possible transceiver damage in the event the battery to engine-block ground lead is inadvertently disconnected.

For ONE-PIECE TRANSCEIVERS where ignition switch control is desired, a 12 Volt power contactor must be installed in the transceiver positive lead. The contactor should be located at the vehicle battery with the coil of the contactor driven through an appropriate in-line fuse from an available accessory circuit or ignition circuit not powered during cranking. The contactor coil must return to battery negative.

B. Any negative lead from a handset or control unit must retun to battery negative. It is preferable that the positive lead for a handset or control unit be connected directly to the battery. It is recommended that the handset or control unit positive and negative leads be appropriately fused separately from the transceiver positive and negative leads. If ignition switch control is desired, the handset or control unit positive lead may be connected through an appropriate in-line fuse to an available accessory circuit or ignition circuit not powered during cranking.

C. If multiple transceivers or receivers are to be installed in the vehicle, power leads to the trunk or under dash should be terminated in covered insulated bus bars. All transceivers or receivers may then have their power leads connected to the bus bars. This makes a neater installation and reduces the number of wires running to the vehicle underhood area.

6. Wire Routing

A. The power leads should be brought through a grommeted hole in the front bulkhead that must be provided by the installer. For trunk-mounted transceivers, the cables should continue on along the driver's side door sills, under the rear seat, and into the trunk through the rear bulkhead. All attempts should be made to maintain as great a distance as possible between radio power leads and vehicle electronic modules and wiring.

B. If the battery is located on the passenger side, radio power leads should cross the vehicle in front of the engine.

7. Troubleshooting A. Should vehicle-radio interaction develop following installation, the source of the problem should be determined prior to further operation of the vehicle. Most interaction problems can be eliminated by following the installation guideline.

B. If any vehicle-radio interaction problems exist after following this guideline, check current service bulletins for resolution of the customer problem. If there is no bulletin that covers the customer problem, call your technical assistance group.

Auxillary Electrical Equipment GM Recommended Installation

AC-Delco Side Terminal Adaptor Package 1846855, when combined with the longer battery bolt and spacer will provide the simple, tight, corrosion resistant connection illustrated. Parts can also be purchased at car dealerships.

AC-DELCO CAR DEALER Item Catalog 7A10 "Parts" Book ---- ------------ ------------

Kit 1846855 1846855 Bolt 7803 12004188 Spacer 7804 12004189


Object Number: 86383  Size: FS


Object Number: 76202  Size: FS


Object Number: 89856  Size: MF


Object Number: 85867  Size: FS


Object Number: 89234  Size: FS

General Motors bulletins are intended for use by professional technicians, not a "do-it-yourselfer". They are written to inform those technicians of conditions that may occur on some vehicles, or to provide information that could assist in the proper service of a vehicle. Properly trained technicians have the equipment, tools, safety instructions and know-how to do a job properly and safely. If a condition is described, do not assume that the bulletin applies to your vehicle, or that your vehicle will have that condition. See a General Motors dealer servicing your brand of General Motors vehicle for information on whether your vehicle may benefit from the information.