GM Service Manual Online
For 1990-2009 cars only

SMU - SECTION 3A CONTROL MODULE SYSTEM (PCM)

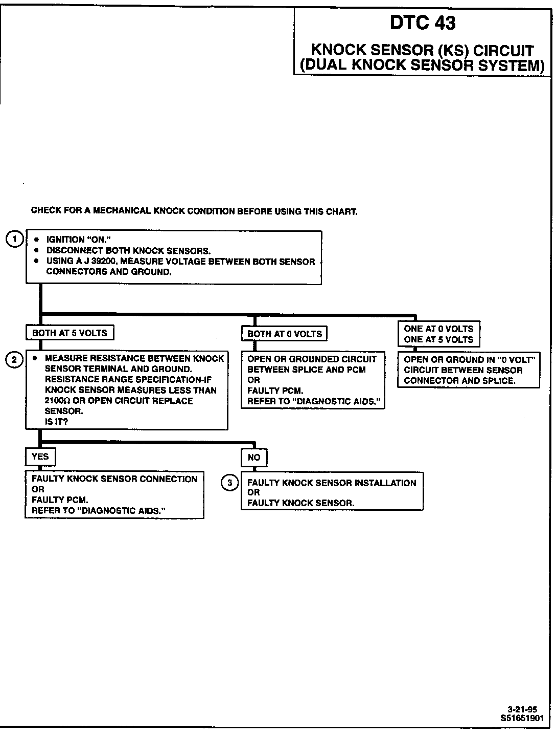
SUBJECT: SERVICE MANUAL UPDATE-SECTION 3A CONTROL MODULE SYSTEM (PCM) DRIVEABILITY AND EMISSIONS-REVISED DTC 43 KNOCK SENSOR (KS) CIRCUIT (DUAL KNOCK SENSORS)

MODELS: 1994 CHEVROLET AND GMC TRUCK S/T, M/L, AND C/K MODELS WITH 4.3L ENGINES (VINS W, Z - RPOS L35, LB4)

THIS BULLETIN ADVISES OF A REVISION TO THE DTC 43 KNOCK SENSOR (KS) CIRCUIT (DUAL KNOCK SENSOR SYSTEM) CHART IN THE FOLLOWING SERVICE MANUALS:

1994 S/T DRIVEABILITY EMISSIONS AND ELECTRICAL DIAGNOSIS MANUAL, PAGE 3A-119 1994 M/L DRIVEABILITY EMISSIONS AND ELECTRICAL DIAGNOSIS MANUAL, PAGE 3A-75 1994 C/K DRIVEABILITY EMISSIONS AND ELECTRICAL DIAGNOSIS MANUAL, PAGE 3A-69

FIGURES: 00 ATTACHMENTS: 01


Object Number: 82795  Size: FS

GENERAL MOTORS BULLETINS ARE INTENDED FOR USE BY PROFESSIONAL TECHNICIANS, NOT A "DO-IT-YOURSELFER". THEY ARE WRITTEN TO INFORM THOSE TECHNICIANS OF CONDITIONS THAT MAY OCCUR ON SOME VEHICLES, OR TO PROVIDE INFORMATION THAT COULD ASSIST IN THE PROPER SERVICE OF A VEHICLE. PROPERLY TRAINED TECHNICIANS HAVE THE EQUIPMENT, TOOLS, SAFETY INSTRUCTIONS AND KNOW-HOW TO DO A JOB PROPERLY AND SAFELY. IF A CONDITION IS DESCRIBED, DO NOT ASSUME THAT THE BULLETIN APPLIES TO YOUR VEHICLE, OR THAT YOUR VEHICLE WILL HAVE THAT CONDITION. SEE A GENERAL MOTORS DEALER SERVICING YOUR BRAND OF GENERAL MOTORS VEHICLE FOR INFORMATION ON WHETHER YOUR VEHICLE MAY BENEFIT FROM THE INFORMATION.

COPYRIGHT 1995 GENERAL MOTORS CORPORATION. ALL RIGHTS RESERVED.