GM Service Manual Online
For 1990-2009 cars only

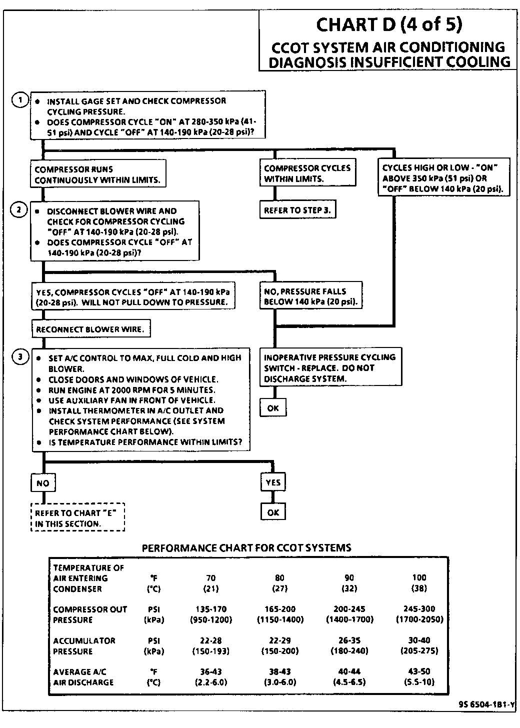
SERVICE MANUAL UPDATE SEC 1B GENERAL AIR CONDITIONING

SUBJECT: SERVICE MANUAL UPDATE - SECTION 1B "GENERAL AIR CONDITIONING" INSUFFICIENT COOLING CHART "D" REVISION

VEHICLES AFFECTED: 1992 "Y" MODEL

The insufficient cooling Chart "D" found in Section 1 B, page 1 0 of the 1992 Chevrolet Corvette "Y" Carline Service Manual has been revised and should be substituted with the aftached chart.


Object Number: 85870  Size: FS

General Motors bulletins are intended for use by professional technicians, not a "do-it-yourselfer". They are written to inform those technicians of conditions that may occur on some vehicles, or to provide information that could assist in the proper service of a vehicle. Properly trained technicians have the equipment, tools, safety instructions and know-how to do a job properly and safely. If a condition is described, do not assume that the bulletin applies to your vehicle, or that your vehicle will have that condition. See a General Motors dealer servicing your brand of General Motors vehicle for information on whether your vehicle may benefit from the information.