GM Service Manual Online
For 1990-2009 cars only

SERVICE MANUAL SUPPLEMENTS ALL 1987 LIGHT DUTY TRUCKS

MODELS: ALL 1987 LIGHT DUTY TRUCK MODELS

The information in this bulletin includes supersessions and additions to the 1987 Light Duty Truck Fuel, Drivability and Emissions Service Manual (Chevrolet ST 376-87/GMC X-736) made available after the date of publication.

Each page has a page number which corresponds with the page that changes in the service manual. These pages should be pasted over the existing pages in your 1987 Service Manual. They provide the latest information for performing the service procedures.

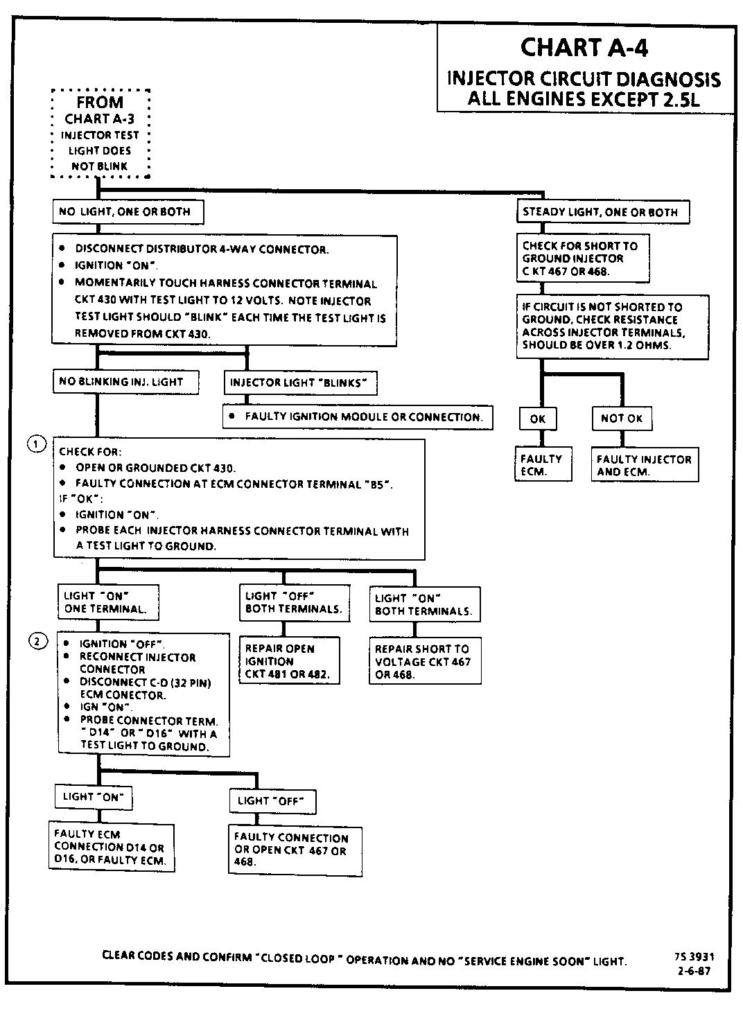
CONTENTS Subject Page Injector Circuit Diagnosis 2.5L Engine . . . . . . . . . . 3-21 Injector Circuit Diagnosis Except 2.5L Engine. . . . . . . 3-23 Throttle Position Sensor . . . . . . . . . . . 3-36, 3-38, 3-88 Code 32 EGR System Check 2.5L, 4.3L, 5.OL & 5.7L . . . . . 3-49 Non-adjustable TPS Output Check - TBI 700 . . . . . . . . 4-28


Object Number: 80517  Size: FS


Object Number: 84723  Size: FS


Object Number: 83579  Size: FS


Object Number: 81729  Size: FS

General Motors bulletins are intended for use by professional technicians, not a "do-it-yourselfer". They are written to inform those technicians of conditions that may occur on some vehicles, or to provide information that could assist in the proper service of a vehicle. Properly trained technicians have the equipment, tools, safety instructions and know-how to do a job properly and safely. If a condition is described, do not assume that the bulletin applies to your vehicle, or that your vehicle will have that condition. See a General Motors dealer servicing your brand of General Motors vehicle for information on whether your vehicle may benefit from the information.