GM Service Manual Online
For 1990-2009 cars only

SERVICE MANUAL UPDATE-SEC.6E2 CODE 23/25 REVISED PAGES

Model and Year: 1990 J1 (GEO TRACKER) WITH 1.6L (VIN CODE U) ENGINE

This bulletin serves to revise the Code 23 and Code 25 facing page and chart in Section 6E2-A "Driveability And Emissions" in the 1990 Geo Tracker 1.6L (VIN U) "J" Carline (TBI) Service Manual.

The title blocks on pages 6E2-A-1, 6E2-A-36, 6E2-A-37, 6E2-A-38, and 6E2-A-39 are incorrectly labeled. The malfunction Code 23 and Code 25 (Manifold Air Temperature Sensor Circuit) were reversed. Code 23 was labeled Code 25 and Code 25 was labeled Code 23.

The attached pages reflect the correct labeling of the malfunction codes and table of contents page at the beginning of Section 6E2-A.

Section A

1.6L (VIN U) "J" Carline (TBI)

DIAGNOSTIC CIRCUIT CHECK

The "Diagnostic Circuit Check" verifies that the engine control system is functioning correctly. Special considerations to observe while performing the "Diagnostic Circuit Check" are:

Blocking Drive Wheels

The vehicle drive wheels should always be blocked while checking the system.

Cold Oxygen Sensor

The system oxygen sensor may cool off after only a short period of operation at idle. This will cause the system to enter "Open Loop" operation. Run the engine at part throttle until "Closed Loop" operation is restored.

BASIC PROCEDURE

If the basic information on using the diagnostic procedures contained in this section has not been reviewed, refer to the "Introduction" of this section.

SECTION A ENGINE COMPONENTS/WIRING DIAGRAMS/DIAGNOSTIC CHARTS

Component Locations............................................. Page A-2 ECM Wiring Diagrams (1 of 3).................................... Page A-3 EFI System (1 of 2)..............................................Page A-6 Vacuum Hose Routing..............................................Page A-8 ECM Terminal End View........................................... Page A-9 Diagnostic Circuit Check........................................ Page A-10 No "Check Engine" Light - Chart A-1............................. Page A-12 Will Not Flash Code 12 "Check Engine" Light..................... Page A-14 "ON " Steady - Chart A-2 Engine Cranks But Will Not Run (ECM Power and Ground Circuit Check and No "Check Engine" Light) - Chart A-3...... Page A-16 Fuel Injector and Circuit Check (Engine No-Start) - Chart A-5....Page A-18 Fuel System Diagnosis - Chart A-7A...............................Page A-20 Fuel System Diagnosis (Fuel Pressure Check) - Chart A-7B.........Page A-22 Control Relay Circuit Check - Chart A-8......................... Page A-24 Code 13 - Oxygen (02) Sensor Circuit (Open Circuit)..............Page A-26 Code 14 - Coolant Temperature Sensor (CTS) Circuit...............Page A-28 (Low Temperature Indicated) Code 15 - Coolant Temperature Sensor (CTS) Circuit.............. Page A-30 (High Temperature Indicated) Code 21 - Throttle Position Sensor (TPS) Circuit.................Page A-32 (Signal Voltage High) Code 22 - Throttle Position Sensor (TPS) Circuit................ Page A-34 (Signal Voltage Low) Code 25 - Manifold Air Temperature (MAT) Sensor Circuit......... Page A-36 (High Temperature Indicated) Code 23 - Manifold Air Temperature (MAT) Sensor Circuit......... Page A-38 (Low Temperature Indicated) Code 31 - Manifold Absolute Pressure (MAP) Sensor Circuit)...... Page A-40 (Signal Voltage High - Low Vacuum Code 32 - Manifold Absolute Pressure (MAP) Sensor Circuit....... Page A-42 (Signal Voltage Low - High Vacuum) Code 41 - Ignition Signal Circuit (No Signal)................... Page A-44 Code 42 - 5th Gear Switch Circuit (M/T Only) (Grounded Circuit)..Page A-46 Code 42 - Torque Converter Clutch (TCC) Lock-Up Signal Circuit (A/T Only) (Signal Voltage Remains... Page A-48 "ON" At All Times) Code 44 - Idle Switch Circuit (Circuit Open or Misadjusted)..... Page A-50 Code 45 - Idle Switch Circuit (Circuit Grounded or Misadjusted)..Page A-52 Code 51 - EGR System & Recirculated Exhaust Gas Temperature......Page A-54 Sensor (REGTS) (California Vehicle Only) (Temperature Too Low or Too High) Code 53 - Ground Circuit (California Vehicle Only) (Circuit......Page A-56

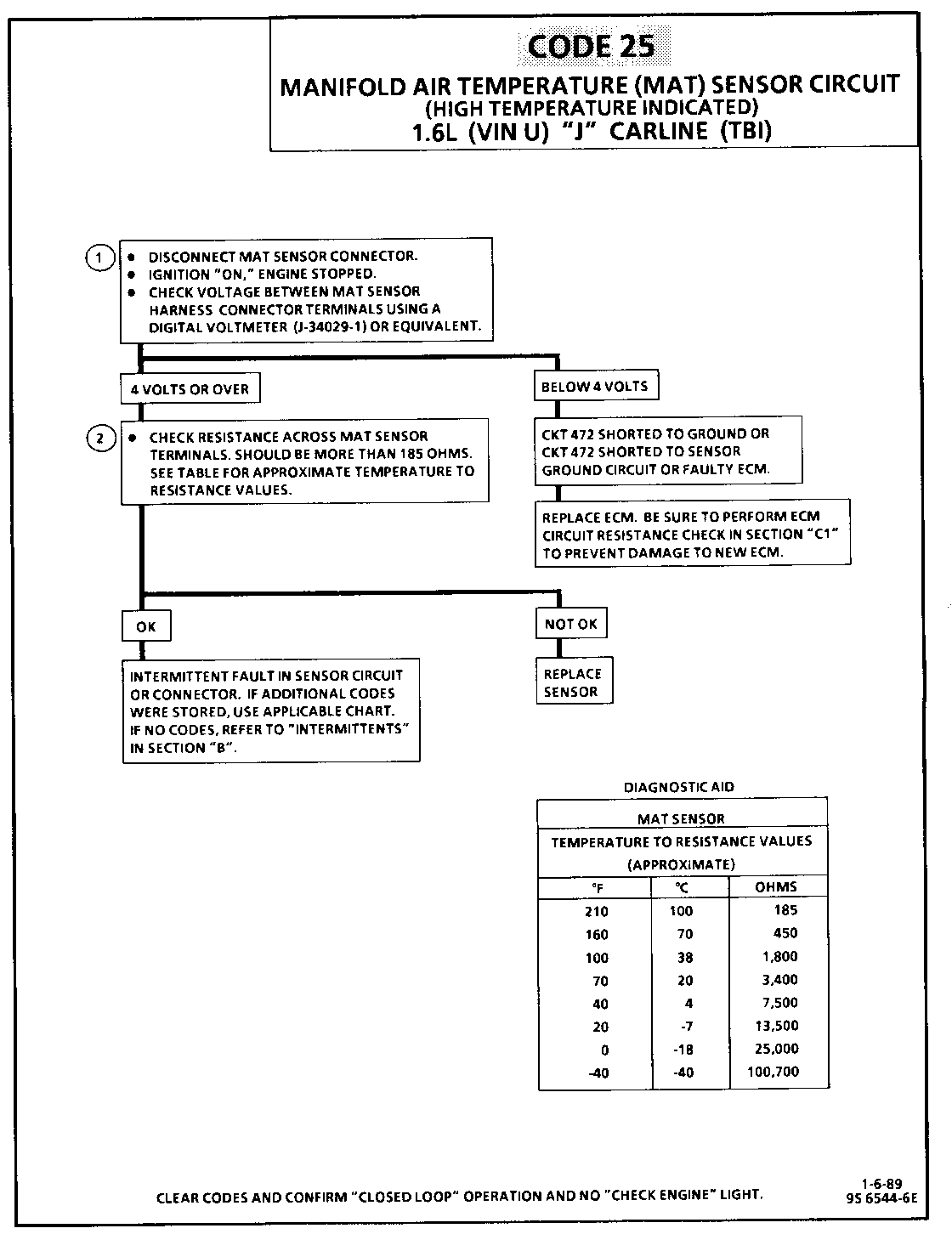
CODE 25 MANIFOLD AIR TEMPERATURE (MAT) SENSOR CIRCUIT (HIGH TEMPERATURE INDICATED) 1.6L (VIN U) -J- CARLINE (TBI)

Circuit Description:

The Manifold Air Temperature (MAT) sensor uses a thermistor to control the signal-voltage to the ECM. The ECM applies a voltage (4-6 volts) on CKT 472 to the sensor. When manifold air is cold, the sensor (thermistor) resistance is high, therefore, the ECM will see a high signal voltage. As the air warms, the sensor resistance becomes less, and the voltage drops.

Test Description: Numbers below refer to circled numbers on the diagnostic chart.

1. Code 25 will set if:

Signal voltage indicates a manifold air temperature greater than 150 DEG C (302 DEG F) for 2 seconds.

Time since engine start is 1 minute or longer

No VSS

2. If the resistance is less than 100 OHMS, replace the sensor.

CODE 23 MANIFOLD AIR TEMPERATURE (MAT) SENSOR CIRCUIT (LOW TEMPERATURE INDICATED) 1.6L (VIN U) -J- CARLINE (TBI)

Circuit Description:

The Manifold Air Temperature (MAT) sensor uses a thermistor to control the signal voltage at the ECM. The ECM applies a voltage (4-6 volts) on CKT 472 to the sensor. When the air is cold, the sensor (thermistor) resistance is high, therefore, the ECM will see a high signal voltage. If the air is warm, the sensor resistance is low, therefore, the ECM will see a low voltage.

Test Description: Numbers below refer to circled numbers on the diagnostic chart.

1. Code 23 will set if:

A signal voltage indicates a manifold air temperature below -35 DEG C (-31 DEG F)

Time since engine start is 1 minute or longer

No VSS (vehicle not moving)

A Code 23 will set, due to an open sensor, wire, or connection. This test will determine if the wiring and ECM are OK.

2. If the resistance is greater than 25,000 OHMS, replace the sensor.


Object Number: 81482  Size: FS


Object Number: 80214  Size: FS


Object Number: 79068  Size: FS


Object Number: 81481  Size: FS

General Motors bulletins are intended for use by professional technicians, not a "do-it-yourselfer". They are written to inform those technicians of conditions that may occur on some vehicles, or to provide information that could assist in the proper service of a vehicle. Properly trained technicians have the equipment, tools, safety instructions and know-how to do a job properly and safely. If a condition is described, do not assume that the bulletin applies to your vehicle, or that your vehicle will have that condition. See a General Motors dealer servicing your brand of General Motors vehicle for information on whether your vehicle may benefit from the information.