GM Service Manual Online
For 1990-2009 cars only

TIRE WARRANTY ASSISTANCE PROGRAM

MODELS/YEARS ALL 1985 MODELS

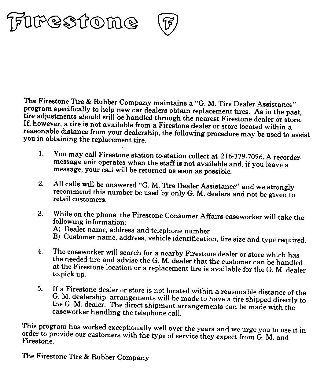
All tire manufacturers which supply tires to GM have developed warranty assistance programs which enable the dealer to handle his own customer tire problems in the dealership without entering into any type of sales or service agreement with the manufacturers. Most of these programs were first announced in November 1979 and were updated in a letter to all dealers in January 1982. Since that letter there have been some phone number changes to several of these programs. This bulletin contains information on the current Oldsmobile original equipment tire supplier dealer programs.

Basically, these programs allow a dealer to obtain a replacement tire directly from the tire manufacturer without the involvement of the local tire outlet. This is especially valuable when a particular tire size is unavailable locally, or when the tire manufacturer's outlet is inconveniently located. Of course, current procedures covering tire adjustments through local tire outlets continue as in the past.

Since each tire company program varies slightly in content, it is suggested that reference be made to the appropriate instructions whenever assistance is required.

We urge you to take advantage of these programs where necessary to ensure a high level of customer satisfaction in connection with the handling of tire warranty adjustments.


Object Number: 86208  Size: FS


Object Number: 84965  Size: FS


Object Number: 84964  Size: FS


Object Number: 83761  Size: FS


Object Number: 84963  Size: FS


Object Number: 81973  Size: FS


Object Number: 79515  Size: FS

General Motors bulletins are intended for use by professional technicians, not a "do-it-yourselfer". They are written to inform those technicians of conditions that may occur on some vehicles, or to provide information that could assist in the proper service of a vehicle. Properly trained technicians have the equipment, tools, safety instructions and know-how to do a job properly and safely. If a condition is described, do not assume that the bulletin applies to your vehicle, or that your vehicle will have that condition. See a General Motors dealer servicing your brand of General Motors vehicle for information on whether your vehicle may benefit from the information.