GM Service Manual Online
For 1990-2009 cars only

DRIVEABILITY AND EMISSIONS REVISED CODE 26

VEHICLES AFFECTED: 1988-89 "N" 2.3L (VIN D)

This bulletin serves to update Code 26 (Page 2 of 3) Facing Page "Diagnostic Aids" and to add Chart C-8D Facing Page and Chart in Section 6E3 "Driveability And Emissions" of the 1988 and 1989 Service Manuals with 2.3L "N" (VIN D) applications.

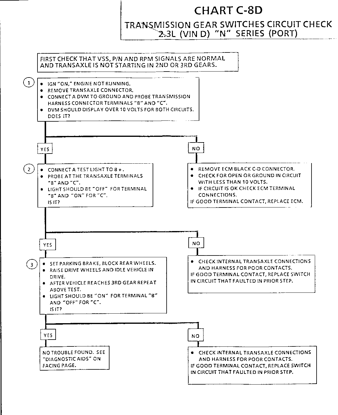
TRANSMISSION GEAR SWITCHES CIRCUIT CHECK 2.3L (VIN D) "N" SERIES (PORT)

Circuit Description:

CHART C-8D is used to check the 2nd and 3rd gear switch inputs to the ECM. Transmission gear input signals to the ECM are determined as follows:

l st gear = 2nd gear switch closed (also P/N & R) 3rd gear switch open 2nd gear = 2nd gear switch open 3rd gear switch open 3rd gear = 2nd gear switch open 3rd gear switch closed

Test Description: Numbers below refer to circled numbers on the diagnostic chart.

1. Step one checks for an open or grounded circuit between transmission connector and ECM. Since the ECM terminals are normally high, B + should be indicated at both terminals with the connector removed. A DVM must be used for this step.

2. A test light to B+ is used in this step to check transmission switches for the normal state. This is 1st gear (or PIN) state. The light should be "ON" for the N.C. 2nd gear switch. Use of the wiring probe kit J 35616 will assist in this and step 3.

3. The third step checks to see if the transmission switches function normally. In third gear both switches should have changed from their original 1st gear state.

Diagnostic Aids:

A sticky or improperly functioning 2nd or 3rd ear switch may cause Code 26 to set intermittently.

QUAD-DRIVER (QDM) CIRCUIT 2.3L (VIN D) "N" SERIES (PORT)

Diagnostic Aids:

Intermittent open or ground in controlled circuit will cause Code 26 if present continuously for 20 seconds or longer.

Intermittent Code 26 may be caused by an improperly functionina second or third gear switch.

Refer to CHART C-8D for proper gear switch operation.


Object Number: 78610  Size: FS


Object Number: 77694  Size: FS


Object Number: 77693  Size: FS

General Motors bulletins are intended for use by professional technicians, not a "do-it-yourselfer". They are written to inform those technicians of conditions that may occur on some vehicles, or to provide information that could assist in the proper service of a vehicle. Properly trained technicians have the equipment, tools, safety instructions and know-how to do a job properly and safely. If a condition is described, do not assume that the bulletin applies to your vehicle, or that your vehicle will have that condition. See a General Motors dealer servicing your brand of General Motors vehicle for information on whether your vehicle may benefit from the information.