GM Service Manual Online
For 1990-2009 cars only

NEW PRODUCT INFORMATION 1989 THM 125C SERIES

NEW PRODUCT INFORMATION

1989 CUTLASS CALAIS AND CUTLASS CIERA EQUIPPED WITH 125/125C TRANSAXLE (RPO M34/MD9)

BULLETIN COVERS:

Revised information for THM 125/125C transaxles in 1989 New Product information Manuals, preliminary service manuals and service manuals printed prior to October, 1988. This information will be in service manuals printed after November, 1988.

Refer to this bulletin when use of the following information is necessary.

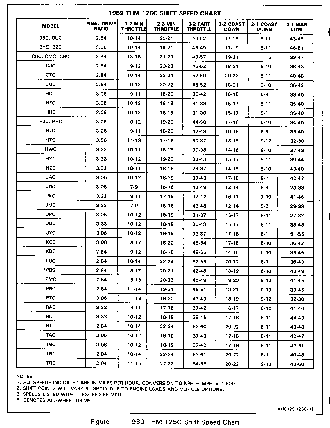
Transaxle Diagnosis (Figure 1) 1989 THM 125C Shift Speed Chart Transaxle Transaxle Diagnosis (Figure 2) Preliminary Check Procedure (Fluid Pressure Check) Unit Repair Section (Figure 3) Control Valve and Oil Pump Assembly

In Figure 3 a new valve bore plug (382) has been added to some THM 125/125C models.

Changes in the preliminary check procedure and shift speed chart are due to some THM 125/125C models which were dropped and new models that were added as follows:

Models Dropped: Models Added: --------------- ------------- KFC, KKC, KMC, KXC, PDC, BUC, BZC, CMC, CRC, HRC, PJC, PLC, PNC, RUC, THC PBS, 0004TNC


Object Number: 79186  Size: FS


Object Number: 79185  Size: FS


Object Number: 79184  Size: FS

General Motors bulletins are intended for use by professional technicians, not a "do-it-yourselfer". They are written to inform those technicians of conditions that may occur on some vehicles, or to provide information that could assist in the proper service of a vehicle. Properly trained technicians have the equipment, tools, safety instructions and know-how to do a job properly and safely. If a condition is described, do not assume that the bulletin applies to your vehicle, or that your vehicle will have that condition. See a General Motors dealer servicing your brand of General Motors vehicle for information on whether your vehicle may benefit from the information.