GM Service Manual Online
For 1990-2009 cars only

SMU - SECTION 8A - REVISED ELECTRICAL DIAGNOSIS

SUBJECT: SERVICE MANUAL UPDATE - SECTION 8A - REVISED ELECTRICAL DIAGNOSIS, SCHEMATICS, DTC TABLE FOR INSTRUMENT PANEL: DIGITAL CLUSTER (U2A)

MODELS: 1994 OLDSMOBILE EIGHTY EIGHT AND NINETY EIGHT

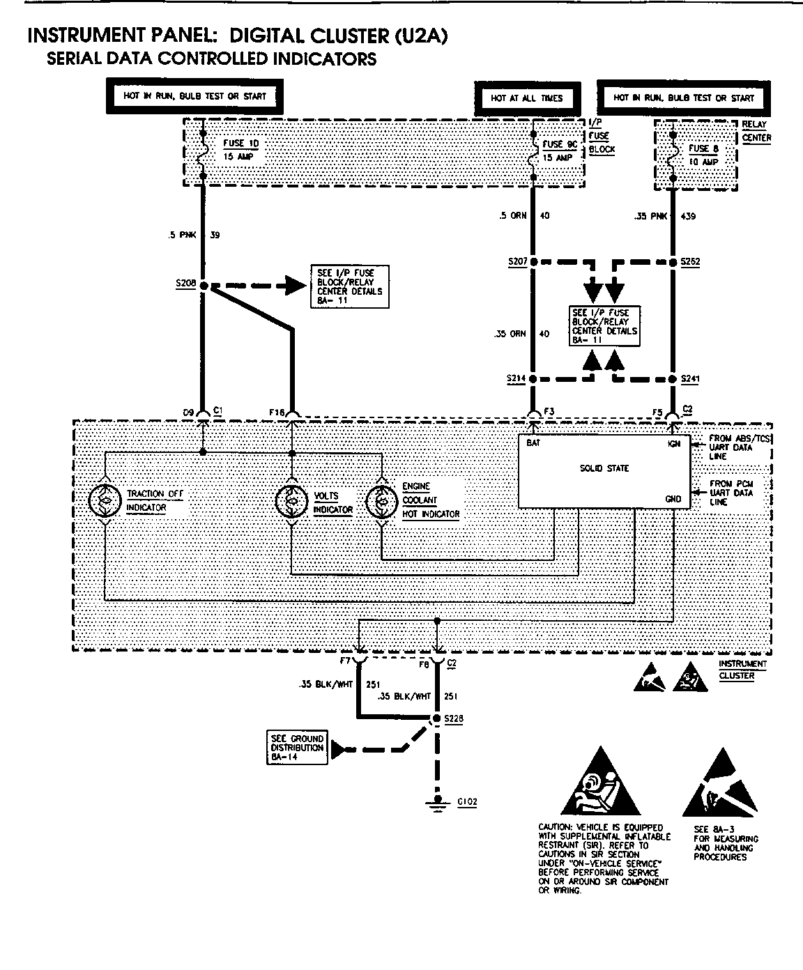
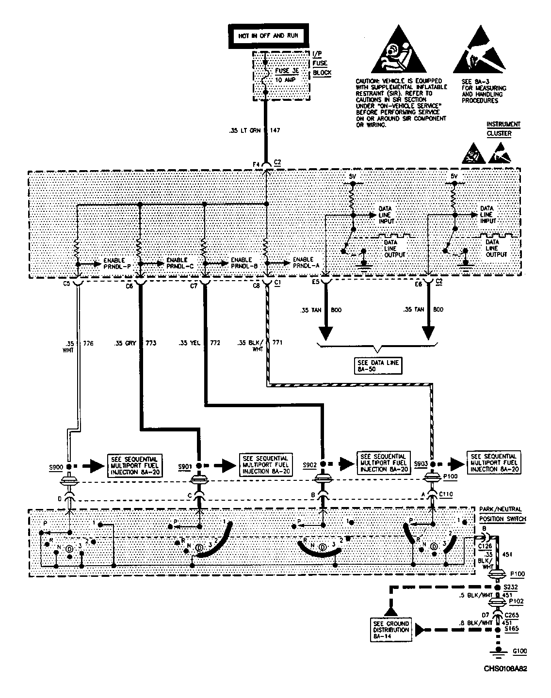
THIS BULLETIN CONTAINS REVISIONS AND ADDITIONS TO SECTION 8A-82 TO COVER ELECTRICAL DIAGNOSIS. A MORE DETAILED SCHEMATIC AND ELECTRICAL DIAGNOSIS FOR THE PRND321 INPUT CIRCUITS TO THE INSTRUMENT PANEL CLUSTER (IPC) ARE INCLUDED IN THESE ADDITIONS.

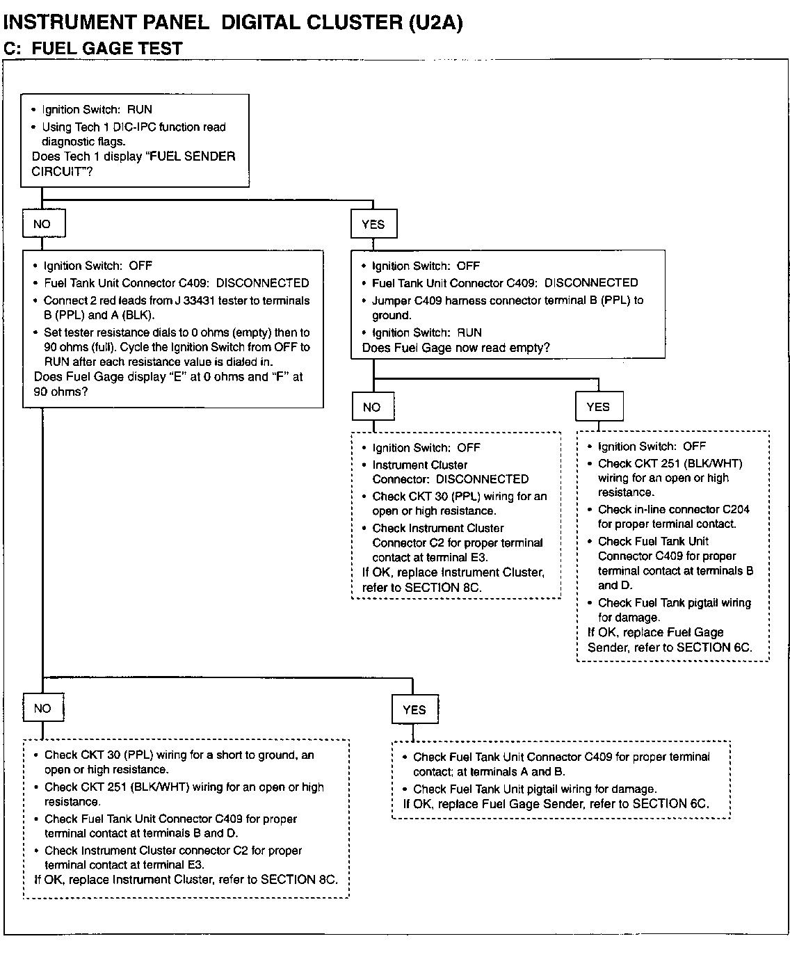
THE DIAGNOSTIC TROUBLE CODE (DTC) TABLE WAS UPDATED TO PROVIDE BETTER DIRECTION IN DETERMINING THE PROPER TEST TO PERFORM FOR EACH FAILURE ASSOCIATED WITH A DTC.

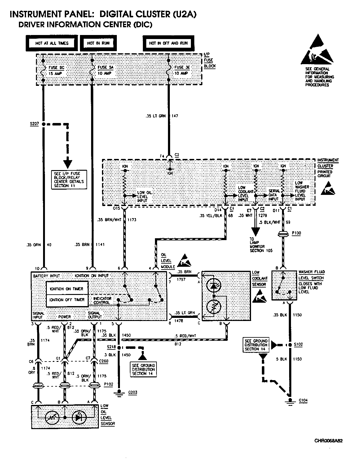
IN ADDITION, DIAGNOSTIC TESTS ARE INCLUDED FOR DIC MESSAGES, OIL LEVEL SYSTEM PROBLEM AND COOLANT LEVEL SYSTEM PROBLEM.

THE FOLLOWING PAGES ARE REVISIONS AND ADDITIONS TO THE SERVICE MANUAL, (SEE ATTACHMENTS).

8A-82-6 REVISION 8A-82-9 REVISION 8A-82-10A ADDITION 8A-82-11 REVISION 8A-82-13A REPLACES DIAGNOSTIC TROUBLE CODE TABLE ON PAGE 8A-82-13 8A-82-15 REVISION 8A-82-18 REVISION 8A-82-26A ADDITION 8A-82-26B ADDITION 8A-82-26C ADDITION 8A-82-26D ADDITION

FIGURES: 0 ATTACHMENTS: 11


Object Number: 77815  Size: FS


Object Number: 78761  Size: FS


Object Number: 77814  Size: FS


Object Number: 76753  Size: FS


Object Number: 77813  Size: FS


Object Number: 78760  Size: FS


Object Number: 78759  Size: FS


Object Number: 77192  Size: FS


Object Number: 78758  Size: FS


Object Number: 78757  Size: FS


Object Number: 78756  Size: FS

GENERAL MOTORS BULLETINS ARE INTENDED FOR USE BY PROFESSIONAL TECHNICIANS, NOT A "DO-IT-YOURSELFER". THEY ARE WRITTEN TO INFORM THOSE TECHNICIANS OF CONDITIONS THAT MAY OCCUR ON SOME VEHICLES, OR TO PROVIDE INFORMATION THAT COULD ASSIST IN THE PROPER SERVICE OF A VEHICLE. PROPERLY TRAINED TECHNICIANS HAVE THE EQUIPMENT, TOOLS, SAFETY INSTRUCTIONS AND KNOW-HOW TO DO A JOB PROPERLY AND SAFELY. IF A CONDITION IS DESCRIBED, DO NOT ASSUME THAT THE BULLETIN APPLIES TO YOUR VEHICLE, OR THAT YOUR VEHICLE WILL HAVE THAT CONDITION. SEE A GENERAL MOTORS DEALER SERVICING YOUR BRAND OF GENERAL MOTORS VEHICLE FOR INFORMATION ON WHETHER YOUR VEHICLE MAY BENEFIT FROM THE INFORMATION.

COPYRIGHT 1994 GENERAL MOTORS CORPORATION. ALL RIGHTS RESERVED.