GM Service Manual Online
For 1990-2009 cars only

ANTI-LOCK BRAKE SERVICE MANUAL DIAGNOSTIC CHARTS

ANTI-LOCK BRAKE SERVICE MANUAL DIAGNOSTIC CHARTS

VEHICLES AFFECTED: 1988 A B C D E F G H J K L M N P R S ----------------- T V W X Y Z SERIES

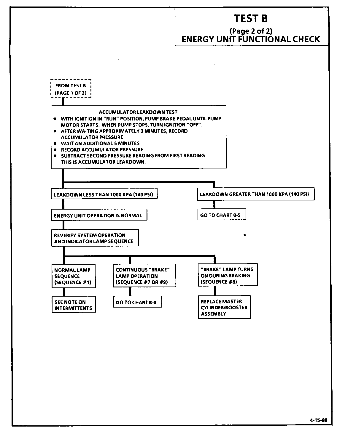
The attached chart updates the diagnostic procedure as published in the 1988 final Service Manual. Please update your Service Manual with this information.


Object Number: 79207  Size: FS

General Motors bulletins are intended for use by professional technicians, not a "do-it-yourselfer". They are written to inform those technicians of conditions that may occur on some vehicles, or to provide information that could assist in the proper service of a vehicle. Properly trained technicians have the equipment, tools, safety instructions and know-how to do a job properly and safely. If a condition is described, do not assume that the bulletin applies to your vehicle, or that your vehicle will have that condition. See a General Motors dealer servicing your brand of General Motors vehicle for information on whether your vehicle may benefit from the information.