GM Service Manual Online
For 1990-2009 cars only

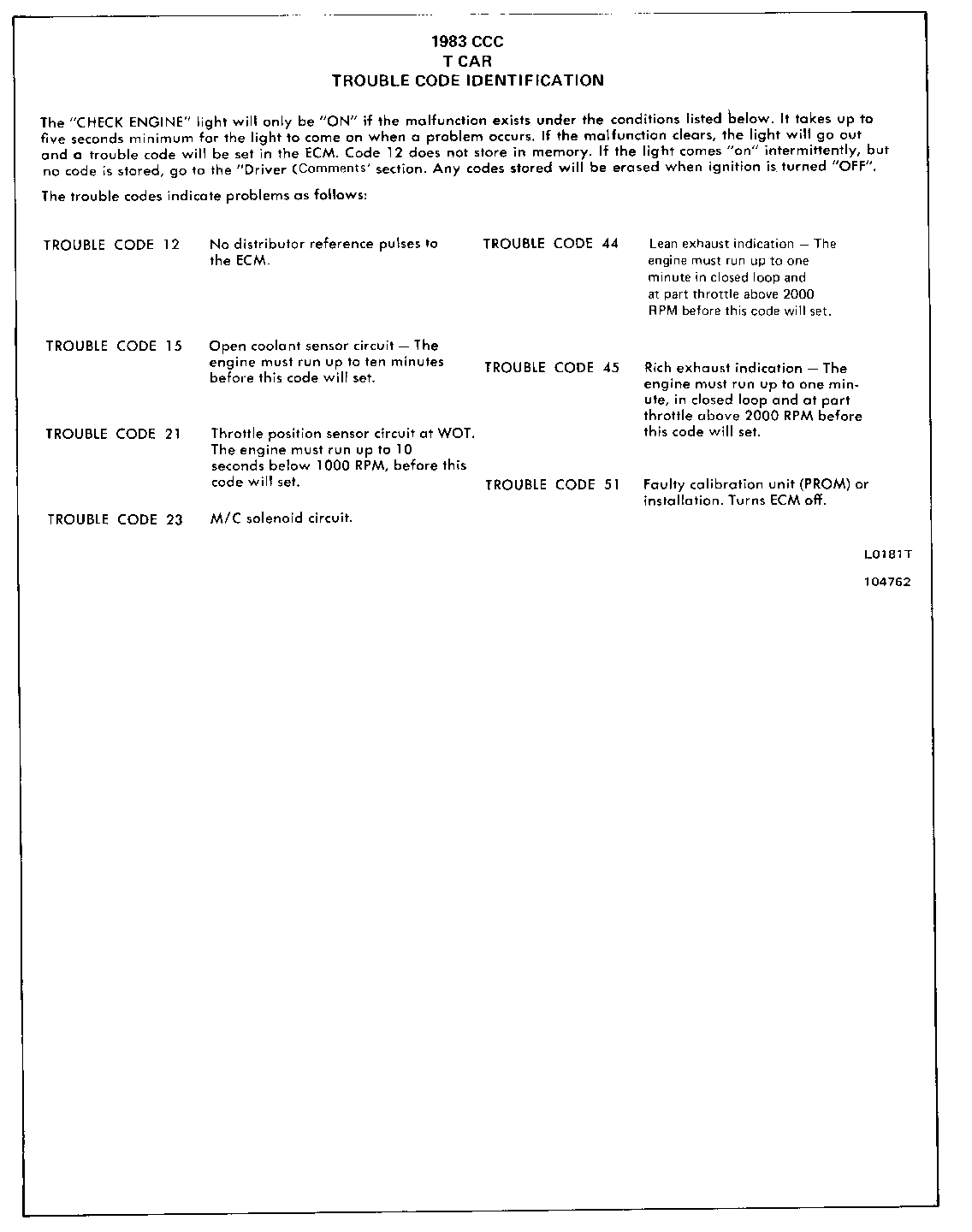
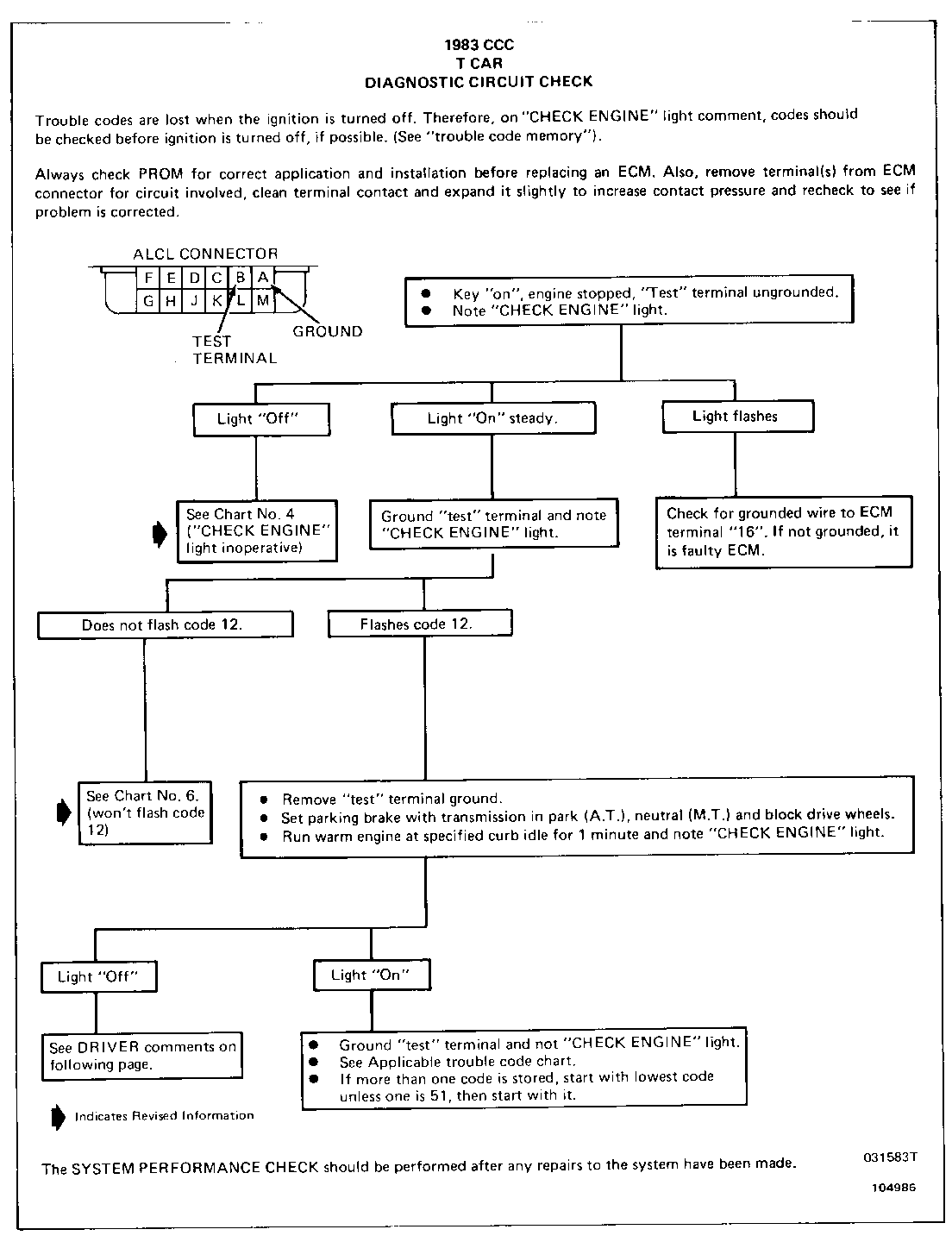
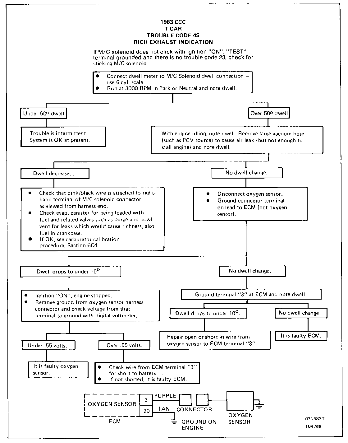
CCC DIAGNOSIS CHARTS 20 UPDATED DIAGNOSTIC CHARTS

Attached are twenty (20) updated CCC Diagnostic Charts for 1983 T1000 models. The affected charts are as follows:

Trouble Code Identification Diagnostic Circuit Check Driver Comments System Performance Check Chart *1 Chart *2 Chart #3 Chart #4 Chart #5 Chart #6 Chart 'Code 12' Chart 'Code 15' Chart 'Code 21' Chart 'Code 23' Chart 'Code 44' Chart 'Code 45' Chart 'Code 51' Engine Cranks But Will Not Run Pulsair Control Valve Check Air Management Check

These new charts should be inserted in place of the old charts in your General Carline Information Manual.


Object Number: 81882  Size: FS


Object Number: 81881  Size: FS


Object Number: 79413  Size: FS


Object Number: 80662  Size: FS


Object Number: 80661  Size: FS


Object Number: 80660  Size: FS


Object Number: 81880  Size: FS


Object Number: 80659  Size: FS


Object Number: 80658  Size: FS


Object Number: 81879  Size: FS


Object Number: 81878  Size: FS


Object Number: 80657  Size: FS


Object Number: 79412  Size: FS


Object Number: 78215  Size: FS


Object Number: 80656  Size: FS


Object Number: 80655  Size: FS


Object Number: 81877  Size: FS


Object Number: 80654  Size: FS


Object Number: 78214  Size: FS


Object Number: 79411  Size: FS


Object Number: 79410  Size: FS

General Motors bulletins are intended for use by professional technicians, not a "do-it-yourselfer". They are written to inform those technicians of conditions that may occur on some vehicles, or to provide information that could assist in the proper service of a vehicle. Properly trained technicians have the equipment, tools, safety instructions and know-how to do a job properly and safely. If a condition is described, do not assume that the bulletin applies to your vehicle, or that your vehicle will have that condition. See a General Motors dealer servicing your brand of General Motors vehicle for information on whether your vehicle may benefit from the information.