GM Service Manual Online
For 1990-2009 cars only

Object Number: 891628  Size: MF

Circuit Description

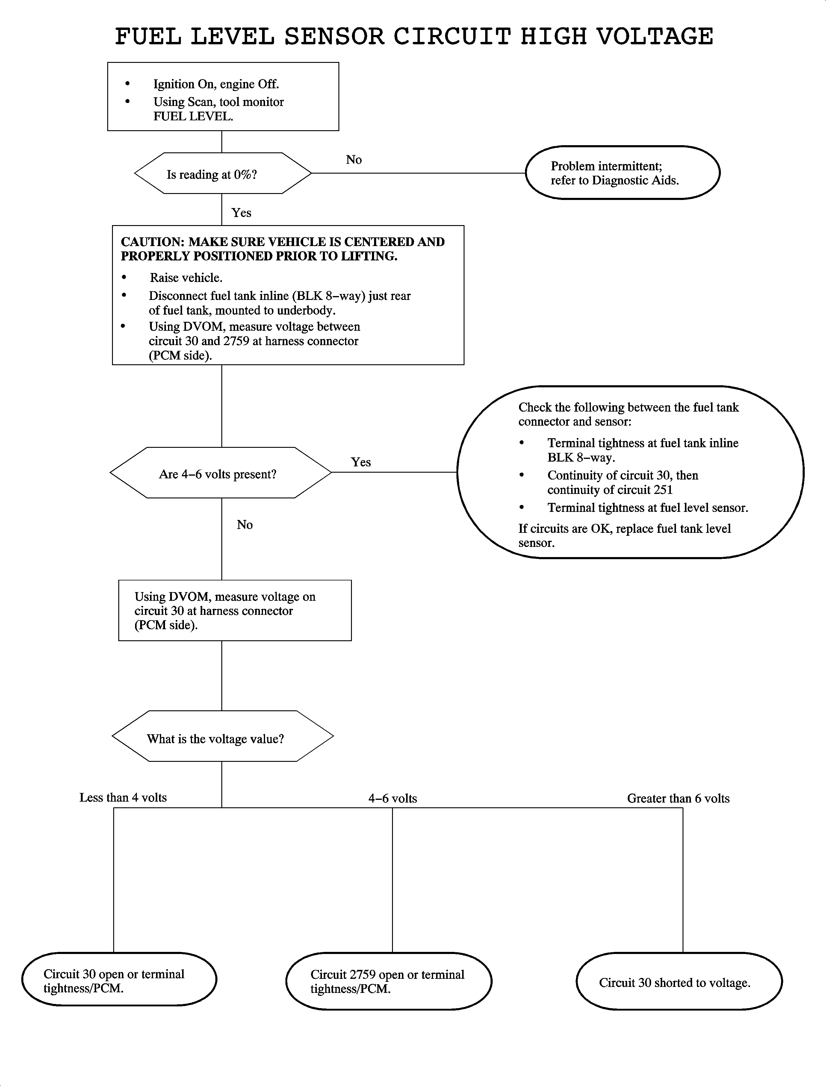
The fuel level sensor is a variable resistor that varies resistance according to changes in the level of fuel in the fuel tank. The PCM supplies a 5 volt reference through a pull-up resistor to the sensor, which is connected to ground. When the level in the fuel tank is high, the sensor resistance is low (low voltage on signal line). As the fuel level decreases, the sensor resistance increases (voltage increases on the signal line). The PCM uses the signal voltage to determine fuel tank level. The PCM averages the fuel level over time then sends it over the Class II link to the BCM. The BCM averages the fuel level with respect to vehicle speed then sends out a message to the I/P cluster for the fuel gauge over the link. DTC P0463 sets when the signal voltage at the PCM is above the calibrated voltage value.

Conditions for Setting the DTC

DTC P0463 will set if fuel level is less than 0% (greater than 4.86 volts) for 25 seconds.

DTC P0463 diagnostic runs continuously with ignition On.

P0463 is a (type D) DTC

Diagnostic Aids

To locate an intermittent problem, use the scan tool to monitor FUEL LEVEL voltage with ignition On, engine Off. Wiggling wires while watching for a change in FUEL LEVEL voltage may locate the area where an open or short to voltage in the wiring could lie.

Important: Fuel level reading on the scan tool is averaged. If an intermittent circuit fault occurs, the reading will change slowly.

Fuel gauge should closely match FUEL LEVEL percentage reading on the scan tool with ignition On, engine Off, with zero vehicle speed (i.e. 25% = 1/4 full).

If DTC P0463 is active, the fuel gauge will read EMPTY and the Low Fuel telltale will be commanded On.

Fuel level sensor resistance should read between 19-251 ohms.

DTC P0463


Object Number: 890089  Size: FP