GM Service Manual Online
For 1990-2009 cars only

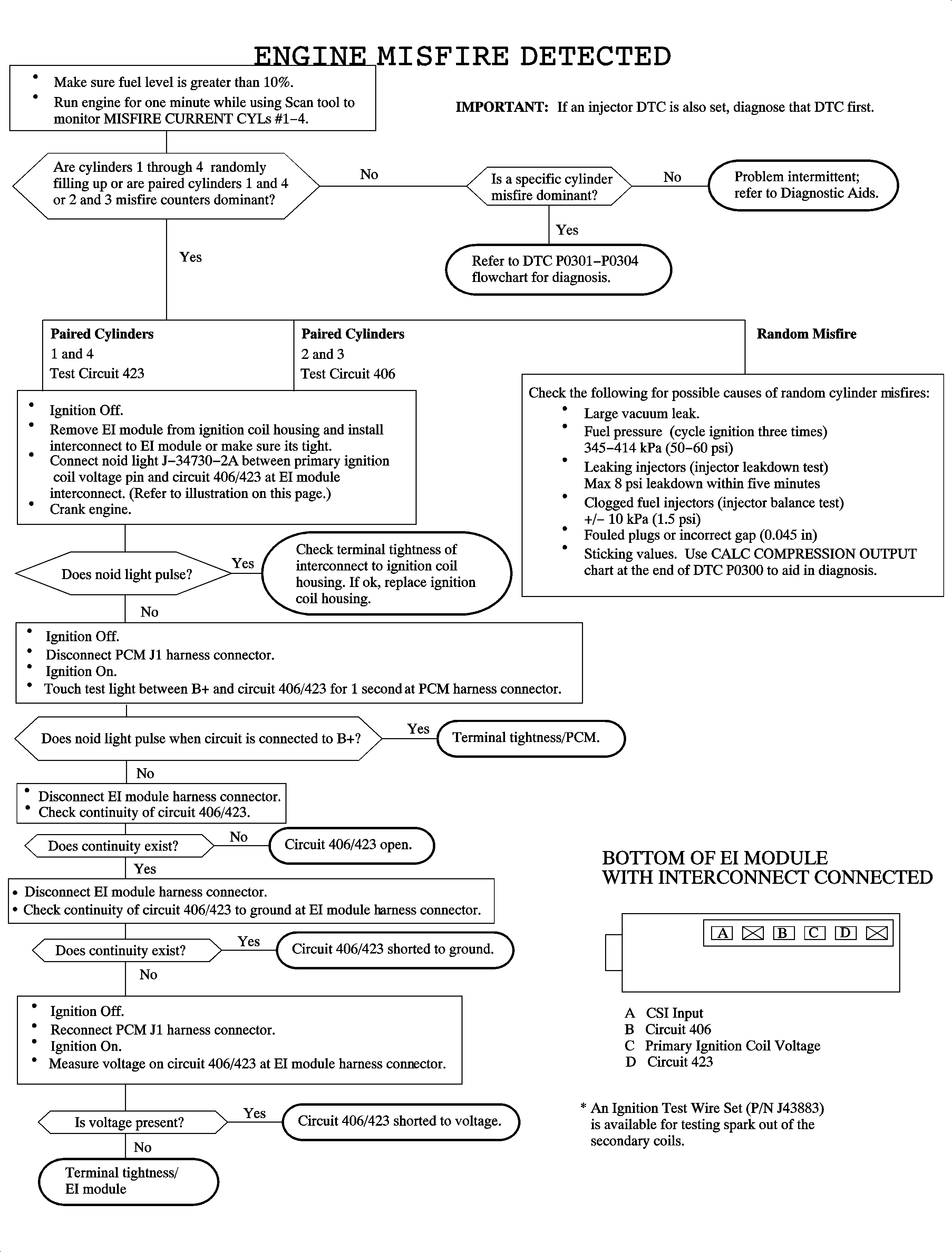
Object Number: 886929  Size: MF

Circuit Description

The PCM uses a zero to 5 volt square wave from the EI module based off the crankshaft position sensor to determine the position and RPM of the engine at various degrees of the crankshaft rotation. The PCM bases misfire diagnostics on the principle that crankshaft velocity will increase as each cylinder contributes its power input. Under certain conditions, the PCM will monitor crankshaft velocity variation in a series of 200 revolution tests. If 20-100% of the revolutions fail, a catalyst damaging misfire has occurred. If 2-19% of the revolutions fail, an emission related misfire has occurred. The MIL (SERVICE ENGINE SOON telltale) will flash when an active catalyst damaging misfire occurs on the first drive cycle if vehicle speed is above 48 km/h (30 mph) and MAP is greater than 70 kPa. The MIL will be On steady if an emission related misfire occurs after two consecutive drive cycles. The MIL will turn Off after three consecutive passed drive cycles meeting the same misfire criteria or 80 passed drive cycles if the criteria could not be met. DTC P0300 sets when a specific or random cylinder misfire has occurred.

Conditions for Setting the DTC

DTC P0300 will set if a specific or random cylinder misfires have been detected after a series of 200 revolution tests when:

    • Sum of the misfire counts are based on engine speed and load
    • Engine run time is greater than 5 seconds
    • Engine speed is between 469 and 6400 rpm
    • ECT is between -7°C and 123°C (20°F and 253°F)
    • Ignition voltage is between 9 and 17 volts
    • Fuel level is greater than 10%
    • No cam, CKP, ECT, fuel trim, IAT, idle speed, knock, MAP, O2S-1, TCC, TP, VSS, P0601, P1336, or P1621 DTCs have been set

DTC P0300 diagnostic runs continuously once the above conditions have been met.

P0300 is a (type B) DTC

Diagnostic Aids

Important: If a fuel injector DTC is set, diagnose that DTC first because it is most likely the cause of the misfire.

Important: The PCM will set a DTC P0300 first, even if a specific cylinder is misfiring. If a specific cylinder misfires for a certain length of time, a specific cylinder misfire will then set.

Important: If vehicle has had prior replacement of a PCM or crankshaft, the crankshaft MUST be relearned. Perform the CRANKSHAFT POS. VARIATION LEARN procedure on Scan tool.

The torque converter may be momentarily disabled to determine if the misfire was due to a rough road condition (auto).

Use Scan tool DATA DISPLAY information to check MISFIRE HISTORY CYL. #1-4 to determine whether the engine had a specific or random misfire. NOTE: The history counters will only store counts when the MIL is commanded On.

Use Scan tool to monitor MISFIRE CURRENT CYL # 1-4 while simulating different engine load conditions in the stall. The Scan tool active misfire counter should pick up intermittent misfire conditions.

    • Fuel injector resistance: 12-13 ohms at 74°F
    • Spark plug gap: 0.045 in
    • Primary ignition coil resistance: 0.4-1.6 ohms
    • Secondary ignition coil resistance (tower 1 to tower 4 or tower 2 to tower 3): 3.8k-5.1k ohms

DTC P0300


Object Number: 890022  Size: FP