GM Service Manual Online
For 1990-2009 cars only

DTC P1860 L61


Object Number: 889776  Size: MF

Circuit Description

The torque converter clutch (TCC) solenoid contains a normally closed valve used to control the apply and release of the torque converter clutch. The PCM operates the solenoid with a duty cycle. When vehicle operating conditions are appropriate to apply the TCC, the PCM immediately increases the duty cycle to approximately 42%. The PCM then ramps the duty cycle to approximately 90% to achieve full TCC apply pressure. When the solenoid is commanded OFF, the PCM feedback is high. When the solenoid is commanded ON, the PCM feedback is low. When the PCM detects a continuous open, short to ground or short to power in the TCC solenoid circuit, then DTC P1860 sets.

Conditions for Setting the DTC

DTC P1860 will set if the PCM detects an open or short to ground on the TCC solenoid control circuit when:

    • PCM is commanding a 10% or less TCC duty cycle
    • Engine run time is greater than 5 seconds
    • Or: Ignition voltage is between 8 and 18 volts
        DTC P1860 will set if the PCM detects a short to voltage on the TCC solenoid control circuit when:
    • PCM is commanding a 90% or greater TCC duty cycle
    • Engine run time is greater than 5 seconds
    • Ignition voltage is between 8 and 18 volts

Diagnostic Aids

    • Ensure transaxle fluid is at proper level.
    • Check for intermittent connections.

DTC P1860


Object Number: 888042  Size: FP

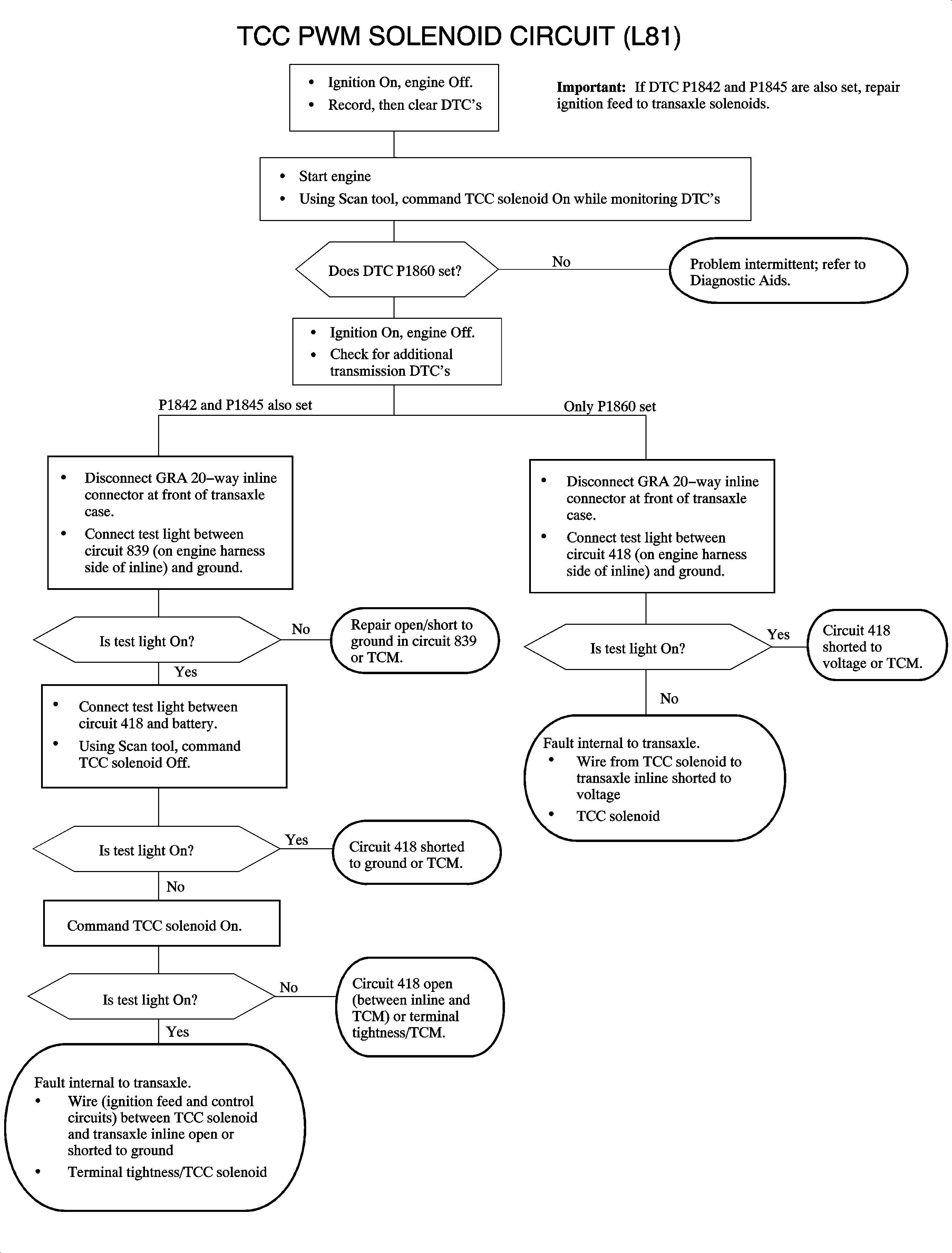
DTC P1860 L81


Object Number: 889776  Size: MF

Circuit Description

The torque converter clutch (TCC) solenoid contains a normally closed valve used to control the apply and release of the converter clutch. The TCM operates the solenoid with a duty cycle. When vehicle operating conditions are appropriate to apply the TCC, the TCM immediately increases the duty cycle to approximately 42%. The TCM then ramps the duty cycle to approximately 90% to achieve full TCC apply pressure. When the solenoid is commanded OFF, the TCM feedback is high. When the solenoid is commanded ON, the TCM feedback is low. When the TCM detects a continuous open, short to ground or short to power in the TCC solenoid circuit, then DTC P1860 sets.

Conditions for Setting the DTC

DTC P1860 will set if the TCM detects an open or short to ground on the TCC solenoid control circuit when:

    • TCM is commanding a 10% or less TCC duty cycle
    • Engine run time is greater than 5 seconds
    • Or: Ignition voltage is between 8 and 18 volts
        DTC P1860 will set if the TCM detects a short to voltage on the TCC solenoid control circuit when:
    • TCM is commanding a 90% or greater TCC duty cycle
    • Engine run time is greater than 5 seconds
    • Ignition voltage is between 8 and 18 volts

Diagnostic Aids

    • Ensure transaxle fluid is at proper level.
    • When diagnosing for an intermittent short or open condition, massage the wiring harness while watching test equipment for a change.

DTC P1860


Object Number: 888043  Size: FP