GM Service Manual Online
For 1990-2009 cars only

Object Number: 896249  Size: MF

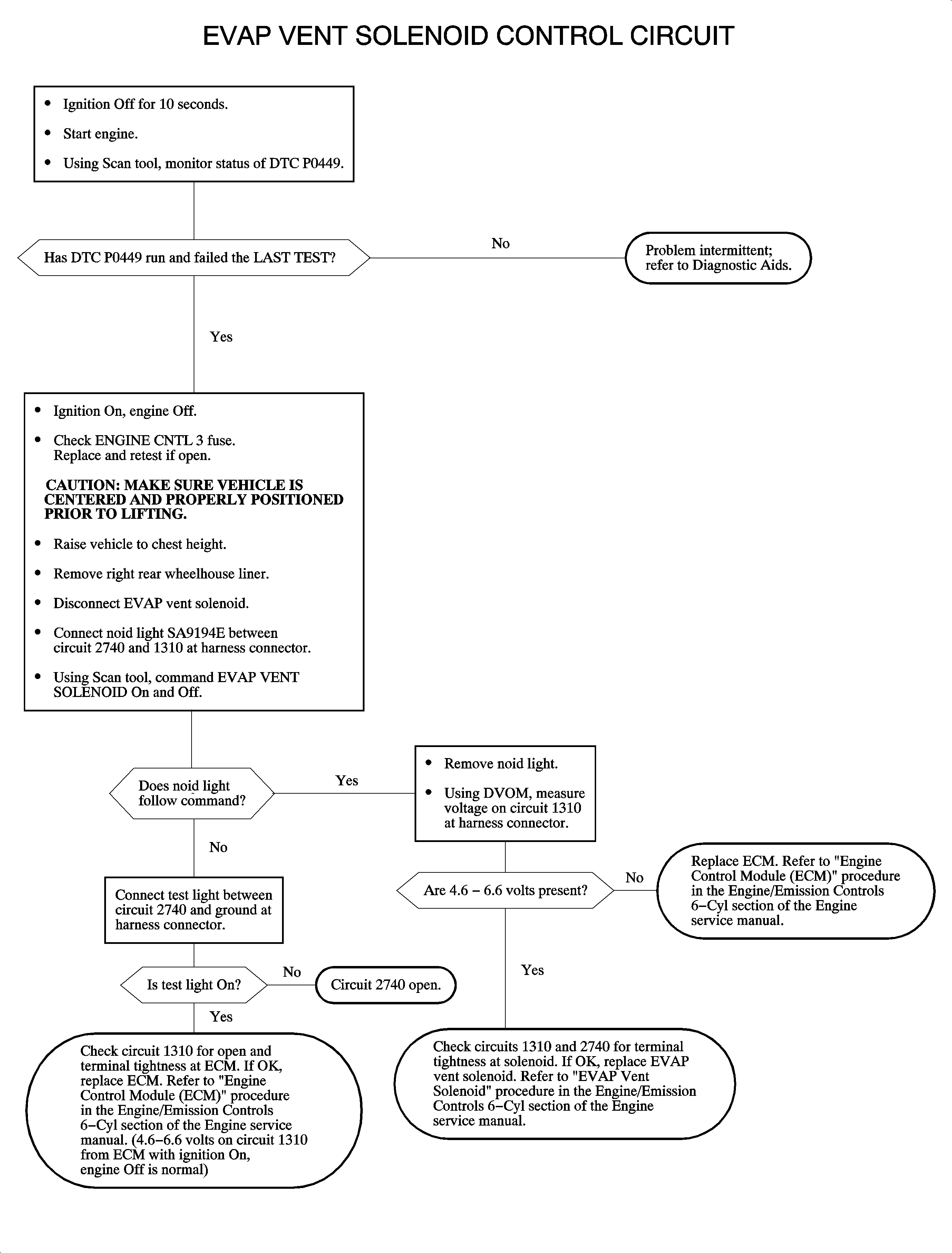
Circuit Description

The evaporative emission (EVAP) system is used to store fuel vapors as to reduce the amount of unburned fuel from escaping into the atmosphere. The function of the EVAP vent solenoid is solely for EVAP leak diagnostics. Outside air flows around the normally open valve, except during portions of the EVAP diagnostic test, through the EVAP canister to the fuel tank. This allows the fuel tank to be at atmospheric pressure around 101 kPa. The ECM controls the solenoid by supplying it ground whenever the EVAP system is not venting, during the EVAP leak diagnostic test. When the solenoid is commanded OFF, the circuit not grounded, the voltage level at the ECM should be high, ignition voltage. When the solenoid is commanded ON, the circuit grounded, the voltage level at the ECM should be low. The ECM EVAP vent solenoid feedback circuit uses a pull-up voltage, 4.6-6.6 volts, which allows the ECM to individually differentiate between an open, short to ground, or short to voltage. DTC P0449 will set if the ECM detects an open EVAP vent solenoid control circuit when the EVAP vent solenoid is commanded OFF with the engine cranking/running.

Conditions for Setting the DTC

DTC P0449 will set if the EVAP vent solenoid feedback voltage is between 4.6-6.6 volts, ECM pull-up voltage indicating an open circuit, when the EVAP purge solenoid is commanded OFF when:

    • The condition exists for longer than 0.5 seconds.
    • The engine speed is greater than 40 RPM.
    • The battery is between 7.5-15 volts.

DTC P0449 diagnostic runs continuously once the above conditions have been met.

DTC P0449 is a type B DTC.

Diagnostic Aids

To locate an intermittent problem, use the scan tool to monitor DTC P0449 LAST TEST with the engine running. Wiggling the wires while watching for a change from PASSED to FAILED may locate the area where an open in the wiring may exist.

EVAP vent solenoid resistance is 18-27 ohms.


Object Number: 898235  Size: FP