GM Service Manual Online
For 1990-2009 cars only

SYMPTOM

PROCEDURE

All blower motor speeds inoperative

Chart 1

Blower motor operates in HI speed any time blower switch is activated from Auto

Check for shorted circuit BLU/WHT 761.

Blower motor operates in HI, but not in an any other speed

Check for shorted PPL CKT 54 at pin 2 of the HVAC Control Module. If no short is found, check circuit BLK 550 for continuity. If continuity is present, faulty Blower Speed Control Module.

Blower motor operates in all modes except HI

Check for shorted/open circuit BLU/WHT 761.

No outside or inside air circulation-blower motor functions

Chart 2

A/C compressor does not operate or it operates all the time

Refer to manual climate control section of this service manual (chart 6, 8 and 9)

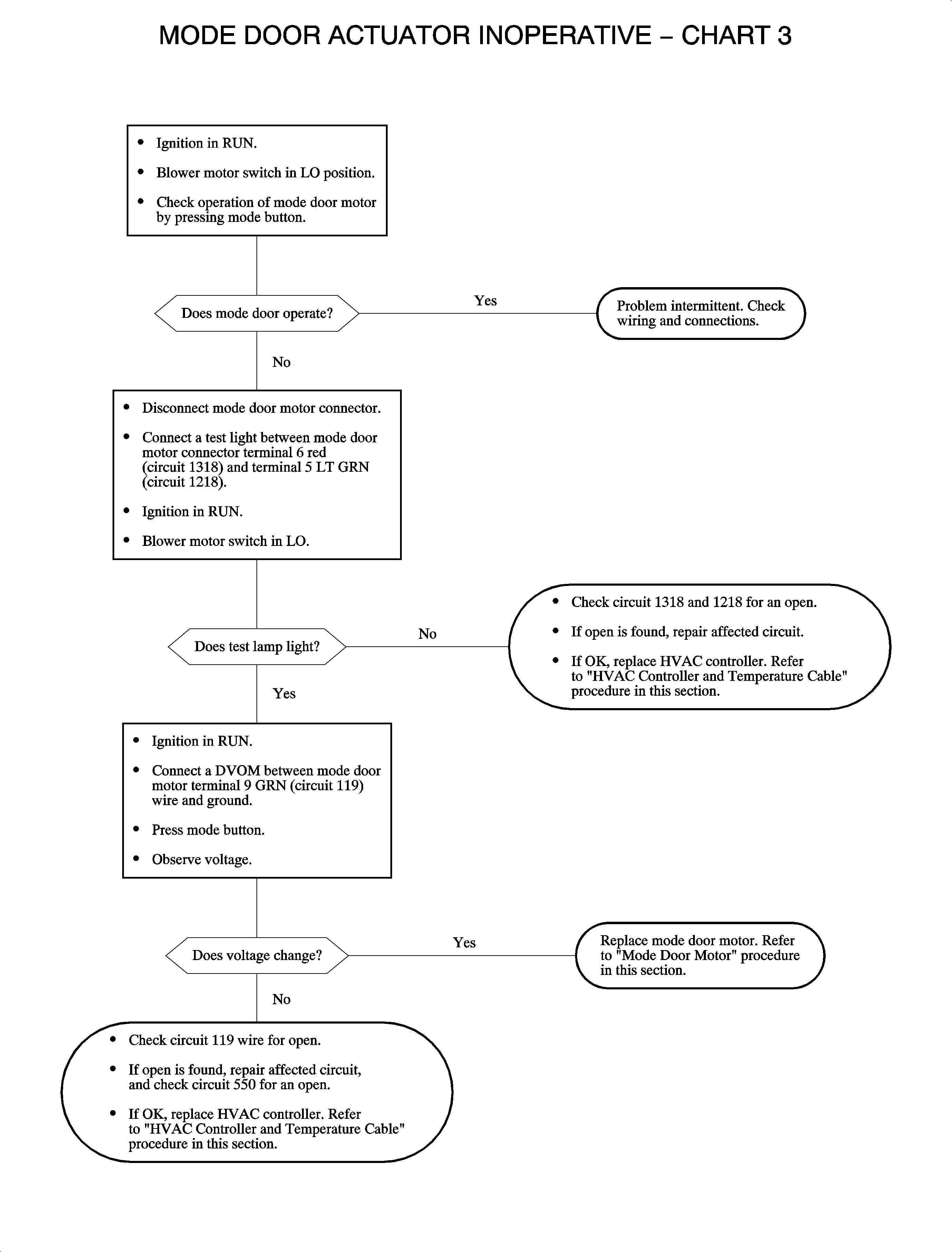
Mode doors motor not functioning

Chart 3

Mix doors motor not functioning

Chart 4

Rear defrost feedback circuit malfunction

Chart 5


Object Number: 891468  Size: FP

Object Number: 891469  Size: FP

Object Number: 891470  Size: FP

Object Number: 891472  Size: FP

Object Number: 891473  Size: FP