GM Service Manual Online
For 1990-2009 cars only

Important: Using a Scan tool check DTCs P0532, P0533 and P0530. If present, diagnose these DTCs first.

SYMPTOM

PROCEDURE

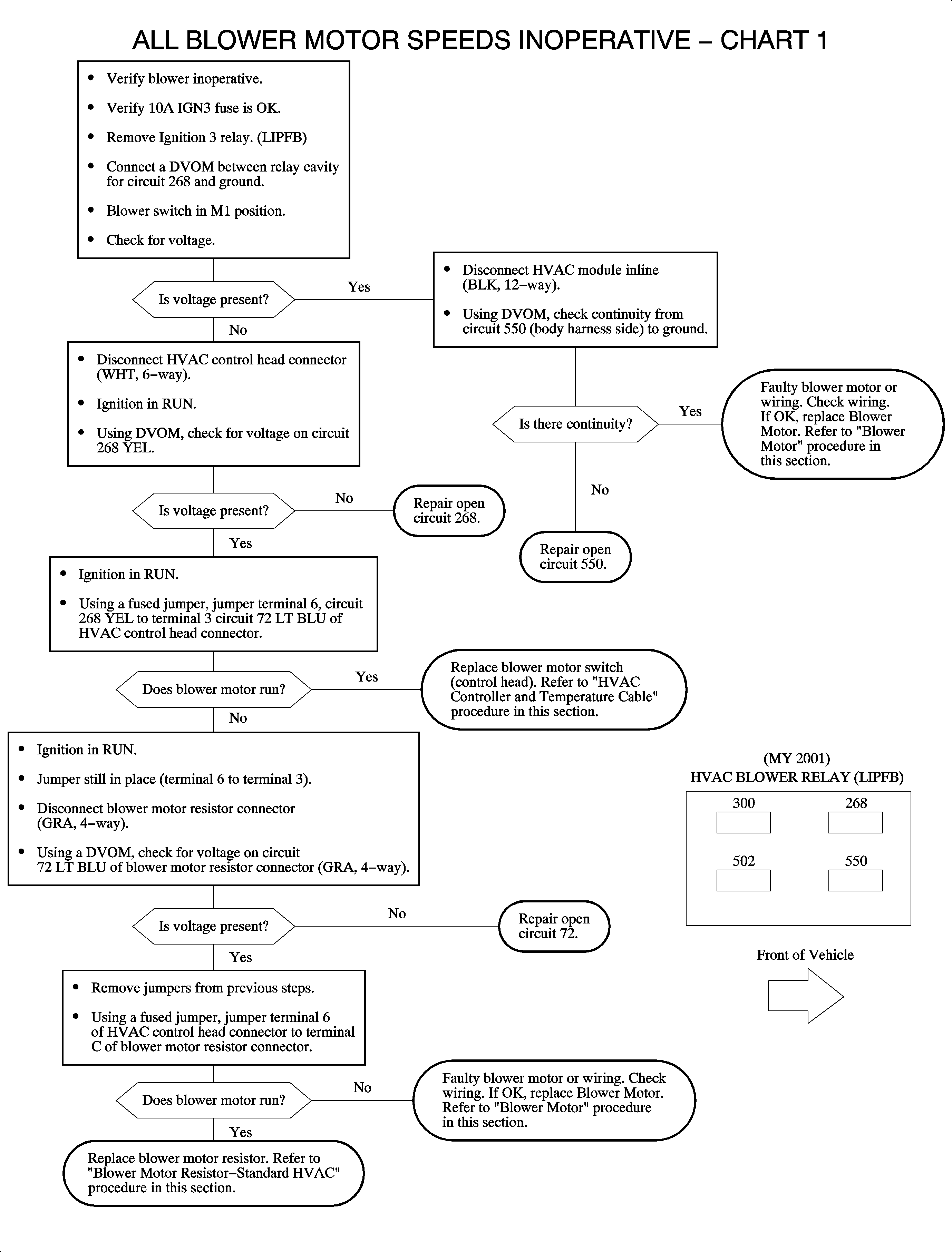
All blower motor speeds inoperative

Chart 1

Blower motor operates in HI speed anytime blower switch is activated

Chart 2

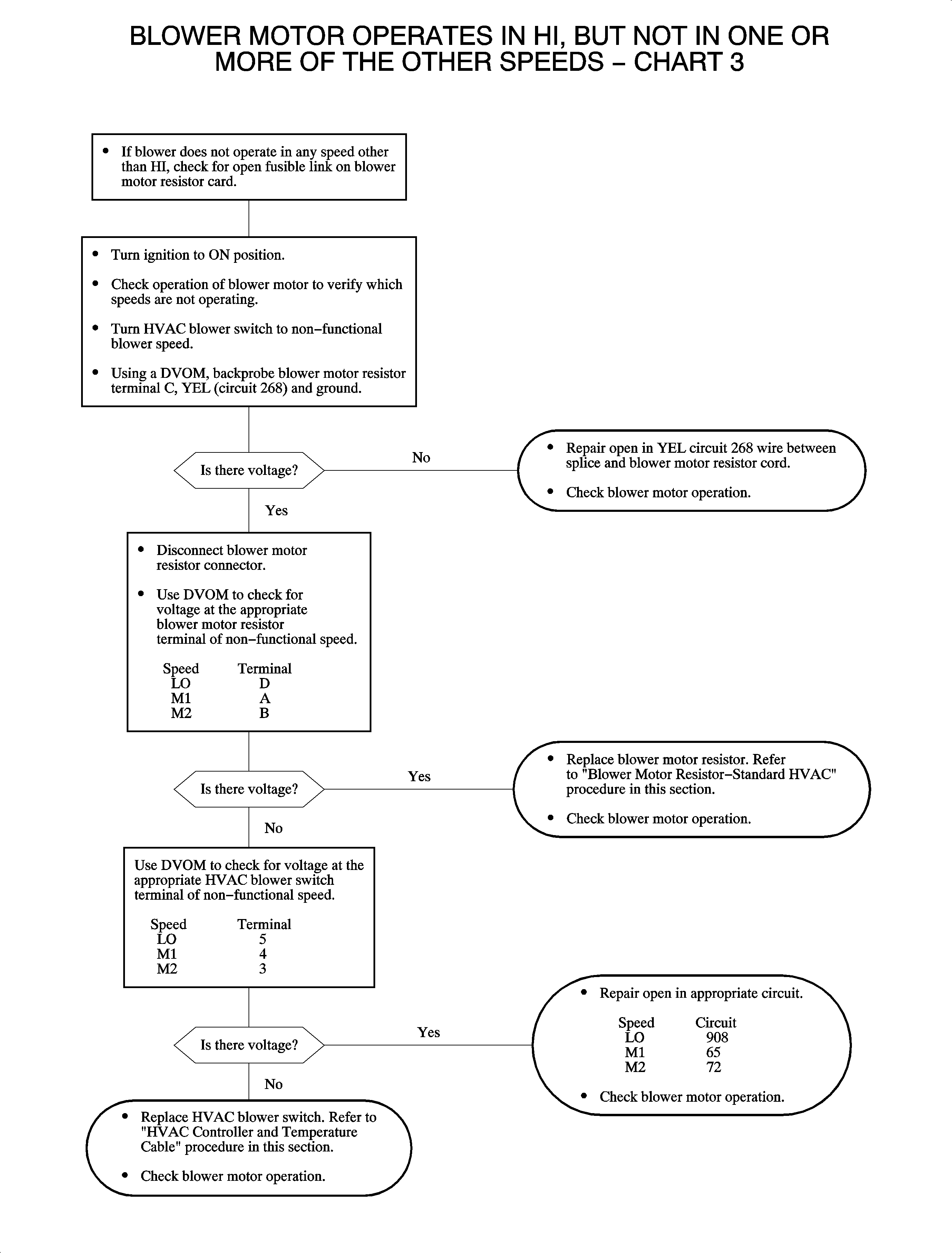
Blower motor operates in HI, but not in one or more of the other speeds

Chart 3

Blower motor operates in all modes except HIGH

Chart 4

No outside or inside air circulation - blower motor functions

Chart 5

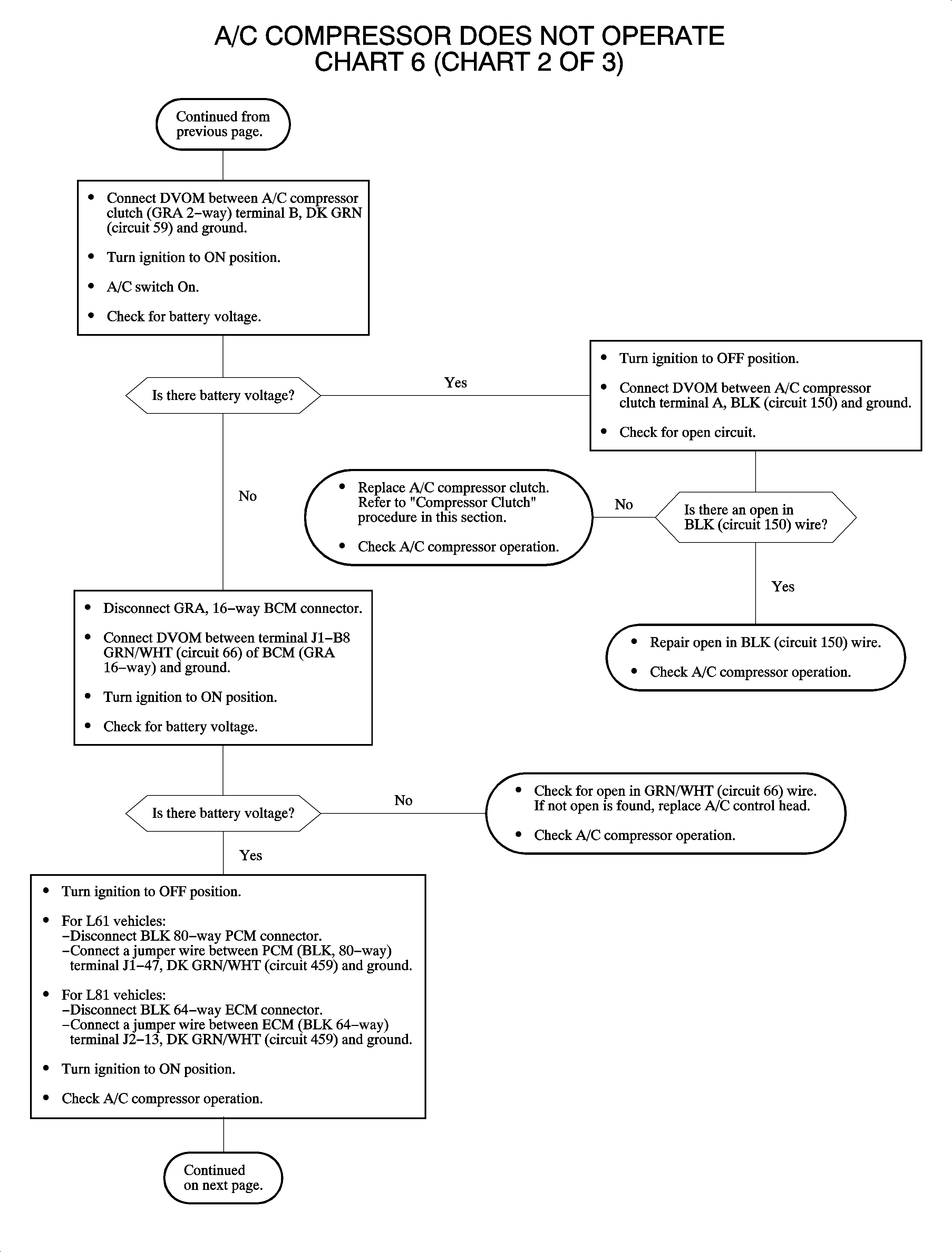
A/C compressor does not operate

Chart 6

Mode doors motor not functioning

Chart 7

A/C compressor operates all the time

Chart 8

A/C or recirc switch indicator lamps do not light

Chart 9

Only HVAC lights do not illuminate or dim with I/P dimmer (all the lights for the other systems function correctly)

    • Check for voltage between HVAC Control Head terminal B4 (GRA, circuit 8) and a known good ground with park lamps on. If no voltage is present, repair circuit 8.
    • If voltage is present at terminal B4 (circuit 8) and all other HVAC functions operate, faulty bulbs or control head.
    • Check HVAC dimmer operation.

Object Number: 890677  Size: FP

Object Number: 890678  Size: FP

Object Number: 890679  Size: FP

Object Number: 890680  Size: FP

Object Number: 890682  Size: FP

Object Number: 890683  Size: FP

Object Number: 890684  Size: FP

Object Number: 890685  Size: FP

Object Number: 890686  Size: FP

Object Number: 890687  Size: FP

Object Number: 890688  Size: FP

Object Number: 890689  Size: FP