GM Service Manual Online
For 1990-2009 cars only

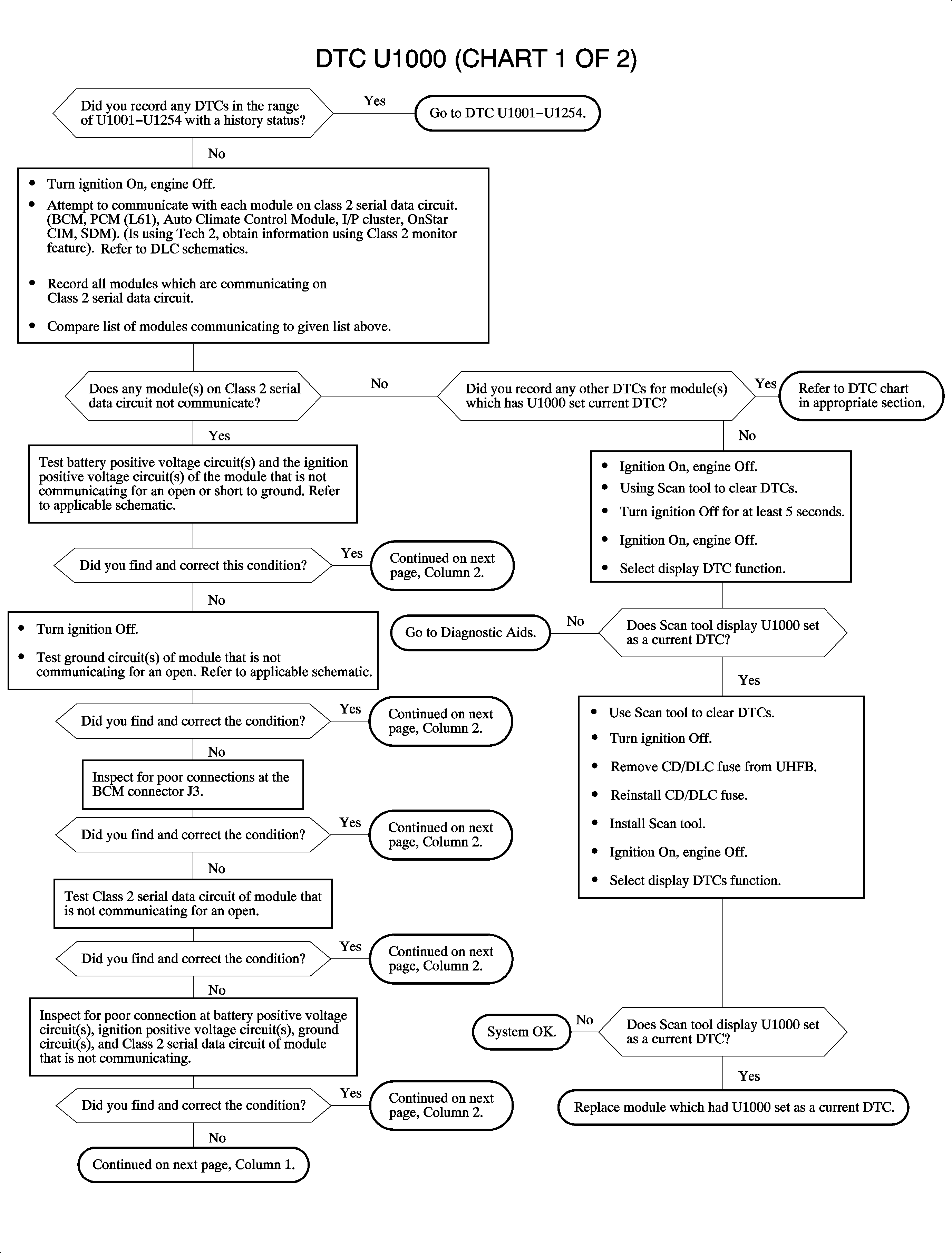
Modules connected to the Class 2 serial data circuit monitor for serial data communication during normal vehicle operation. Operation commands are exchanged among the modules. When a module receives a message for a critical operating parameter, the module records the identification number of the module which sent the message for State of Health monitoring. A critical operating parameter is one which, when not received, requires that the module use a default value for that parameter. When a module does not associate an identification number with at least one critical parameter within about 5 seconds of beginning serial data communication, DTC U1000 is set. When more than one critical parameter does not have an identification number associated with it, the DTC U1000 will only be reported once. DTC U1000 will set as long as U1300, U1301 or U1305 do not have a current status.

Diagnostic Aids

When a malfunction, such as an open fuse to a module, occurs while modules are communicating, a Lost Communication DTC U1XXX is set as a current DTC.

When the modules stop communicating, ignition is turned OFF, the current Lost Communication DTC is cleared but the history DTC remains. When the modules begin to communicate again, the module with the open fuse will not be learned by the other modules so DTC U1000 is set current by the other modules. If the malfunction occurs when the modules are not communicating, only DTC 1000 is set.

When this DTC sets, the module uses a default value for the missing parameter.

A current DTC U1000 will clear when all of the critical operating parameters for the module have been associated with an identification number or when the current ignition cycle end.

A history DTC U1000 will clear upon executing 100 ignition RUN cycles with no recurrence of the malfunction.

DTC U1000


Object Number: 898405  Size: FP

Object Number: 898409  Size: FP