GM Service Manual Online
For 1990-2009 cars only

Object Number: 1094430  Size: LF

Circuit Description

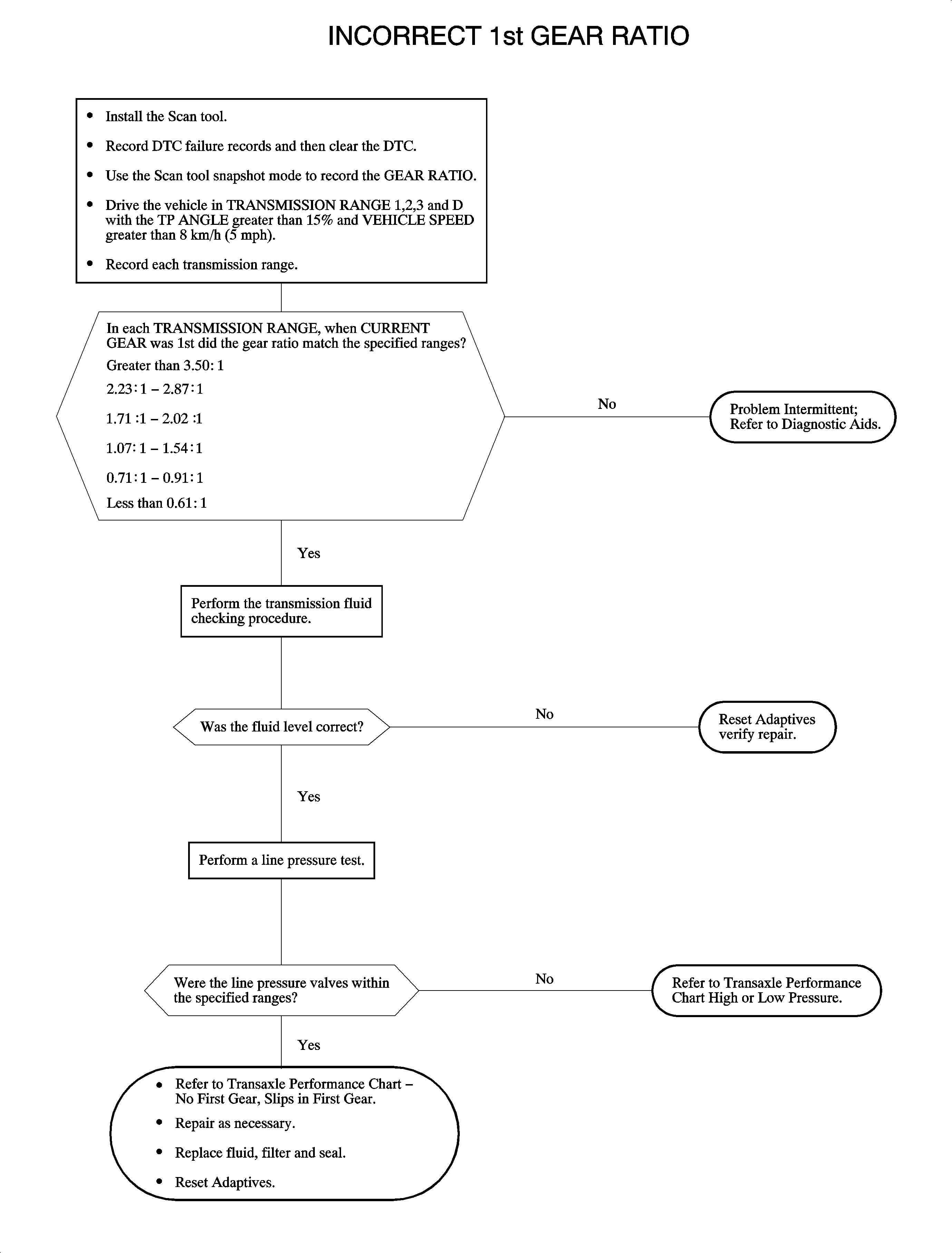
The transaxle control module (TCM) calculates gear ratio based on the transaxle input and output speeds. The TCM compares the known gear ratio to the calculated ratio for commanded gear. When the TCM detects an unknown gear ratio when 1st gear is commanded DTC P0731 sets.

Conditions for Setting the DTC

DTC P0731 will set if one of the following ratios is detected for:

   • 

MY 2002: 4 seconds

   • 

MY 2003: 7 seconds

    • Gear Ratio is greater than 3.50:1
    • Gear Ratio is between 2.23:1 and 2.87:1
    • Gear Ratio is between 1.71:1 and 2.02:1
    • Gear Ratio is between 1.07:1 and 1.54:1
    • Gear Ratio is between 0.72:1 and 0.91:1
    • Gear Ratio is less than 0.61:1

when the following conditions have been met:

    • Current Gear is 1st
    • TP Angle is greater than 15%
    •  Engine Speed is between
       - MY 2002: 200 and 7500 rpm
       - MY 2003: 500 and 7500 rpm
    • Trans. Fluid Temp is between 50°C (122°F) and 130°C (266°F)
    • Vehicle Speed is greater than
       - MY 2002: 5 km/h (3 mph)
       - MY 2003: 8 km/h (5 mph)
    • TFP Range is not Park/Neutral
    • MY 2002: Time since the last gear selector change is greater than 6 seconds
    • MY 2002: Ignition 1 is between 8 and 18 volts
    •  Engine Torque is between:
       - MY 2002: 2 and 350 Nm (1 and 258 ft-lbs)
       - MY 2003: 0 and 250 Nm (0 and 184 ft-lbs)
    • No TP Angle DTCs have set
    • DTC P0502, P0503, P0716, P0717, and P1810 have not set

DTC P0731 diagnostic runs continuously.

DTC P0731 is a type C DTC.

Diagnostic Aids

    • Check for improper transaxle operation per the chart on facing page.
    • Check for an incorrect calibration.

DTC P0731


Object Number: 898653  Size: FP