GM Service Manual Online
For 1990-2009 cars only

Object Number: 889700  Size: MF

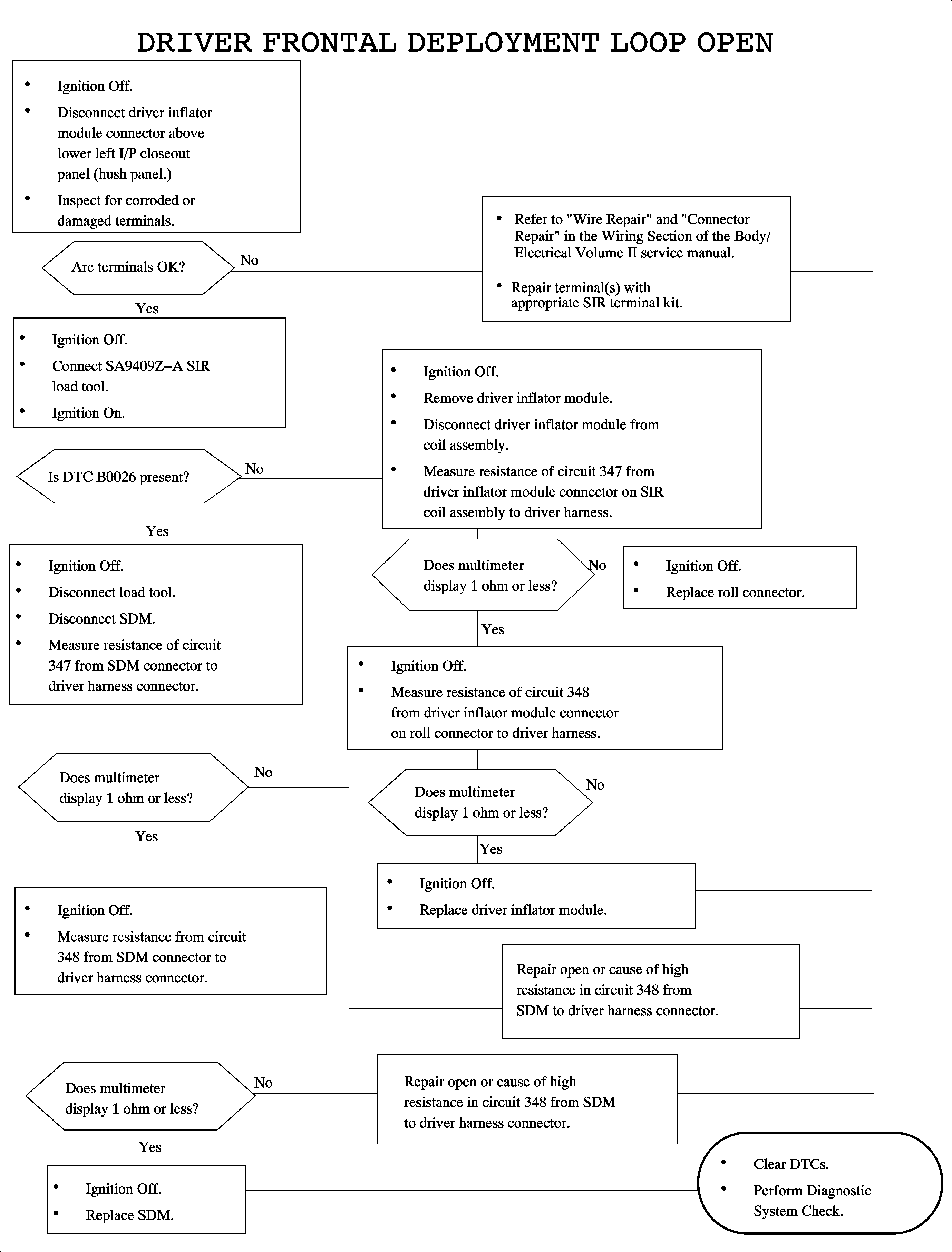
Circuit Description

When the ignition switch is turned on and during vehicle operation, the SDM performs tests to detect system faults. One test the SDM performs is to monitor the driver deployment loop high circuit and driver deployment loop low circuit voltage difference. By monitoring voltage difference, the SDM is able to calculate the driver loop resistance. High resistance indicates an open somewhere in the driver deployment loop.

Conditions for Setting the DTC

DTC B0026 can be set when the driver loop resistance is high. The following conditions must be met to set this DTC:

    • Ignition voltage is present at the SDM and continuous.
    • The driver deployment loop resistance is over 4.8 ohms or cirucit 347 under 2.4 volts with loop resistance over 6 ohms.
    • The fault is present for half a second.

Action Taken When the DTC Sets

    • DTC B0026 will set.
    • The air bag telltale will be on.

Diagnostic Aids

    • When attempting to diagnose an intermittent driver loop fault, use the scan tool to monitor the current DTCs. Wiggle the wires, turn the steering wheel, and check connections while watching for a current DTC to appear and/or disappear on the scan tool.
    • Always start diagnosis of the SIR DTCs with an inspection of wiring and components for visible damage.
    • An open in circuits 347 or 348 to the driver inflator module could cause this DTC.
    • Always perform the Diagnostic System Check - SIR .

B0026


Object Number: 889850  Size: FP