GM Service Manual Online
For 1990-2009 cars only
Table 1: Symptom Table - Hardware Related Performance Complaints
Table 2: In Dash CD Player Errors
Table 3: Tape Errors (E- -01, E- -02, and E- -03)
Table 4: In-Dash CD Player Errors (E- -04, E- -05, and E- -06)
Table 5: CD Changer/Player Errors (E- -07, E- -08, and E- -09)

Symptom Table - Hardware Related Performance Complaints

Symptom

Procedure

Uplevel audio system display is inoperative, radio controls are inoperative, all speaker sets are inoperative.

Go to Chart 1.

Uplevel audio system-radio display functions, but no sound from one-to-three speaker sets.

    • Check that the balance and fade control knobs are centered.
    • Verify when problem exists by using OBD-test tone mode (T--02 or TT).
    • Go to Chart 2.

Uplevel audio system-radio display functions, but either all left or all right speakers are inoperative.

    • Check that the balance control knob is centered.
    • Verify when problem exists by using OBD-test tone mode (T--02 or TT).
    • If still no sound for all left side speakers, check the left I/P body inline connection. Or if still no sound for all right side speakers, check right I/P body inline connection. Inspect terminals. If the inline and terminals are OK, replace the radio.

Uplevel audio system-radio display functions, no sound from all 4 speaker sets.

    • Turn ignition switch OFF.
    • Disconnect the radio GRY 24-way connector and check for terminals shorted together.
    • Check for speaker wire harness damage with ohmmeter (short-to-ground). If OK, replace the radio.

Advanced audio system-display is inoperative, radio controls are inoperative, all speaker sets are inoperative.

Go to Chart 1.

Advanced audio system-radio display functions, no sound from subwoofer or one-to-three door speaker sets.

Important: The rear doors of the advanced audio system do not contain tweeters.

Go to Chart 3.

Advanced audio system-radio display functions, no sound from all four speaker sets, no sound from the subwoofer.

Go to Chart 4.

Advanced audio system-radio display functions, no sound from all four speaker sets while subwoofer still functions.

    • Check for short in outputs of amplifier WHT 10-way.
    • Check connection of WHT 10-way amplifier connector.
    • If no problem found, replace the amplifier.

Uplevel or advanced audio system - speaker distortion, poor sound, or low output from one or more speakers.

    • Check for debris in speaker.
    • Check speaker mounting and fasteners.
    • Check for short across speaker wiring or shorted speaker.
    • Check radio.
    • If OK, replace the speaker.

Uplevel or advanced audio system - no sound from any speakers, radio displays "AUX"

    • OnStar incoming call active. If no sound from speakers, diagnose OnStar system.
    • OnStar mute line (circuit 601/693) shorted to ground. Disconnect radio BLK 12-way and retest for condition.

Weak reception

Refer to Antenna charts.

RFI

Refer to RFI charts and/or ground strap connection.

Tape player does not operate properly.

    • Cassette tape will not play.
    • Cassette tape plays weak, slow, or garbled.
    • Cassette tape gets destroyed.

Go to Chart 5.

Cassette-type portable CD adapter will not play

Some cassette-type portable CD adapters will not play. Saturn stereos are equipped with software that senses cut, broken, or binding tapes. Therefore, the radio will eject some CD adapters because it senses that the tape is cut, broken, or binding. The cassette-type portable CD adapters that will work must contain either a tape loop or a resistance wheel to simulate normal tape drag. An example of this is the Sony CPA-9 type (or equivalent).

In-dash CD player does not operate properly - skips/mutes, ejects or "Err" is displayed.

Go to Chart 6.

In-dash CD player will load a known good CD, but will not play the CD. Radio functions correctly in AM/FM mode.

Replace the radio.

In-dash CD player will not accept the CD.

    • Push eject to see if a CD is already loaded.
    • Try to install a CD. If it still won't accept the CD, then replace the radio.

In-dash CD player will not eject the CD.

    • If the in-dash CD symbol is present on the display, try to eject the CD. If the CD will not eject from the radio, replace radio.
    • If the in-dash CD symbol is not present on the display, press eject to verify that a CD is not already in the radio, then try to install a CD. If it won't accept the CD, replace radio.

The CD changer/player skips or mutes

Go to Chart 7.

The CD changer/player-Radio displays "Err" while trying to use the CD changer/player.

Go to Chart 8.

The CD changer/player will not function. The radio functions properly in AM/FM mode. No CD changer/player icon.

Go to Chart 9.

The CD changer/player-Left, right, or all speakers are inoperative only while using CD changer/player. The speakers work correctly in AM/FM mode.

Go to Chart 10.

The CD changer/player initializes, loads, and ejects magazine, but will not play CDs. No CD changer/player icon.

Go to Chart 11.

The CD changer/player initializes, loads, and ejects magazine, but will not play CDs. The radio functions properly in AM/FM mode. The CD changer/player icon is illuminated. The radio display will show the CD number, but will not show the track number.

Go to Chart 12.

The CD changer/player magazine will not eject.

Refer to Radio/Audio System Description and Operation .

The CD changer/player loads the magazine, initializes (reads CDs), then shows "Err" on the display.

    • Check for upside down CDs.
    • If CDs are installed correctly, go to Chart 8.

The CD changer/player operates (plays the CD and sound can be heard), but will not eject the magazine.

Refer to Radio/Audio System Description and Operation .

The radio plays, but one or more push buttons do not function in all modes (including CD changer/player mode).

    • Use the OBD, key test mode (T--04 or KEY) to verify push button does not function. Also verify when the key should work and what should happen. Refer to Diagnostic System Check - Radio/Audio System . Replace the radio if the push button does not function correctly.
    • Refer to Chart 12 if buttons are only inoperative in CD changer/player mode.

The radio controls are inoperative, time of day is still displayed.

  1. Check to see if the LIPFB 10A RADIO fuse is blown.
  2. If blown, replace the fuse. If it blows again, check wiring to radio.
  3. If OK, replace the radio.

The radio display does not dim with the I/P dimmer switch.

Check for an open or high resistance:

    • In circuit 8 (GRY) between radio connector terminal B4 and dimmer switch connector
    • In circuit 9 (BRN) between radio connector terminal B12 and the headlight switch connector

The radio display does not dim and/or radio face and buttons do not illuminate with park lights On.

    • Check circuit 9 (BRN) for an open or high resistance between radio connector terminal B12 and the headlight switch connector.
    • If OK, replace the radio.

The audio displays "Err".

Refer to On-Board Diagnostic (OBD) section.

The radio displays " --- -", "Err 1," "Err 2," or "LOCK."

    • Clean the radio tape head using the Cassette Tape Head Cleaning instructions.
    • Reset the CLEAN indicator by pressing and holding the EJ (Tape Eject) button for 5 seconds while a tape is in the cassette player.

The radio knob falls off.

Replace the knob using the knob kit. See parts catalog.

Some segments on the display do not light up.

    • Verify using the OBD, LCD segment test mode (T--03 or LCD).
    • If a problem does exist, replace the radio.

The ape player, the in-dash CD player, or the CD changer/player plays the same selection/track repeatedly.

    • Turn the repeat function Off.
    • Inform the customer of the operating instructions listed in the owner's handbook.

The clock will not set.

    • Refer to Radio Specifications
    • Replace radio.

Seek and/or scan will not stop on any station.

  1. Check the antenna connections.
  2. Install a temporary antenna.
  3. If OK, replace the radio.

Clock functions, but all other radio functions are inoperative.

    • Check the RADIO fuse located in LIPFB.
    • Check circuit 43 (YEL) between the radio GRY 24-way terminal B2 and the LIPFB GRAY 68-way terminal F2.

Display, clock, and radio inoperative.

    • Check the 10A RADIO fuse located in the UHFB.
    • Check circuit 440 (ORN) between the radio GRY 24-way terminal B1 and the UHFB GRAY 68-way terminal C11.

On-Board Diagnostics (OBD) For AM/FM CD Radio


Object Number: 888570  Size: FP

Diagnostic Trouble Code Mode (T--01) For AM/FM CD Radio

If an error is made while the customer is using the radio, an error message will momentarily appear on the display alerting the customer that an error has been made. The T- -01 mode in the OBD is available to check which error codes have been set and how many times each error code has been set.

  1. Press the RCL button one time to display E04 and the number of times the error code has been stored in memory, then use the SEEK rocker button to tab through all the possible error codes (E04, E05, E06).
  2. When you are finished checking the error codes, press the RCL button to return to the T- -01 display.

The following is the list of all possible error messages along with the probable causes and procedure to correct the problem.

In Dash CD Player Errors

Possible Causes

Procedure

E04 (CD EJECT Error)

The CD is warped or cracked.

Check the CD.

    •  Remove the burrs.
    •  Avoid using cracked or deformed CDs.
    •  If using an 8 cm (3 in) disc -- Check for proper installation on adapter.
    • Avoid using 8 cm (3 in) adapters with broken hooks.

The CD player opening is blocked by foreign material.

  1. Remove foreign material.
  2. If material can't be removed, replace the radio.

CD player failure

  1. Go to Chart 6.
  2. If unable to correct the problem, replace the radio.

E05 (CD PLAY Error)

The CD is scratched.

The CD will skip around, eject unexpectedly, eject right after loading, or mute intermittently.

    •  Check CD for dirt, scratches, or pinholes.
        Wipe the dirt off with a soft cloth in a straight line from the center hole outward toward edge. Avoid using a chemical cleaning cloth, benzine, thinner, spray, etc.
    • Avoid touching the signal surface of the CD because thick fingerprints and scratches will interrupt the readout.
    •  Scratches on the label side will also affect the sound. Avoid using scratched or damaged CDs.

The CD is dirty.

Clean the CD. Refer to Radio/Audio System Description and Operation .

CD optical focus assembly failure (if from condensation)

Turn ON the car blower motor to evaporate the condensation. Wait about 60 minutes to play a CD so the dew can dry up after blower motor is turned on.

CD player failure

  1. Go to Chart 6.
  2. If unable to correct the problem, replace radio.

The CD is badly scratched.

CD will skip around, eject unexpectedly, eject right after loading, or mute intermittently.

    • Check CD for dirt, scratches, or pinholes.
         Wipe the dirt off with a soft cloth in a straight line from the center hole outward toward the edge. Avoid using a chemical cleaning cloth, benzine, thinner, spray, etc.
    • Avoid touching the signal surface of the CD because thick fingerprints and scratches will interrupt the readout.
    •  Scratches on the label side will also affect the sound. Avoid using scratched or damaged CDs.

E06 (CD INSERTION Error)

The CD is warped.

    • Check the CD.
    • Remove the burrs.
    •  If using an 8 cm (3 in) disc -- Check for proper installation on adapter.
    • Avoid using 8 cm (3 in) adapters with broken hooks.

The CD is upside down.

The CD will eject right after loading. The CD should be installed label side up.

CD player failure

  1. Go to Chart 6.
  2. If unable to correct the problem, replace the radio.

Test Tone Mode (T--02) For AM/FM CD Radio

Press the RCL button and the display will show "1." Balance and fade will automatically adjust to the left front speaker. Two test tones will be checked, the first at 100 Hz for 2 seconds, there will be a half-second pause, and then the second tone at 3.0 kHz for 2 seconds. These 2 tones will continue to check the left front speaker until the SEEK rocker button is pressed, which automatically adjusts the balance and fade to the right front speaker "2" will appear on the display and the 2 test tones will check the right front speaker. Press it again to adjust to left rear speaker "3" will appear on the display and the 2 test tones will check the left rear speaker. Press it again to adjust to the right rear speaker "4" will appear on the display and the two test tones will check the right rear speaker. To exit the test tone mode, press the RCL button.

If you do not hear the test tones, turn the volume up by using the volume knob. If either of the test tones is not heard for a particular speaker, refer to the appropriate chart (chart 2, 3, or 4) to correct the problem.


Object Number: 888743  Size: MF

LCD Segment Test Mode (T--03) For AM/FM CD Radio


Object Number: 864113  Size: SH

Press the RCL button and the display will show every possible segment at one time that can be displayed. Refer to Diagnostic System Check - Radio/Audio System to see what should be on the display. If something is not displayed, replace the radio. To exit the LCD segment test mode, press the RCL button.

Key Test Mode (T--04) For AM/FM CD Radio


Object Number: 864109  Size: SH

Press the RCL button to activate the key test mode, then press each button to verify it works. If the button works, a beep will be heard after the button is pressed. If the button does not work, nothing will be heard when the button is pressed. Also, nothing will be heard when the RCL button or volume knob is pressed, but performance will be known once the desired functions are chosen. To exit the key test mode, press the RCL button.

Antenna Signal Meter Mode (T--05) For AM/FM CD Radio


Object Number: 864081  Size: SH

Press the RCL button to view the antenna signal strength of the last tuned station. The music of the last station will be heard while the signal is continuously sampled and displayed. The signal will continue to be sampled and displayed until the RCL button is pressed, returning T--05 to the display.

    • Compare the signal strength of 2 vehicles playing the same station when the vehicles are side by side and use these values to compare for problems with the audio system.
    • If familiar with the signal strength of a particular station, use this value to compare for problems with the audio system.

Clear Diagnostic Trouble Code Mode (T--06) For AM/FM CD Radio


Object Number: 864077  Size: SH

When T- -06 is on the display, press and hold the RCL button for 2 seconds to reset/clear the DTCs. After 2 seconds, an audible tone will be heard and the codes will be reset. To exit the clear codes mode, press the RCL button.

On-Board Diagnostics (OBD) For AM/FM Cassette/CD Radios


Object Number: 874450  Size: FP

Diagnostic Trouble Code Mode (DTC) For AM/FM/Cassette/CD Radios

If an error is made while the customer is using the radio, an error message will momentarily appear on the display alerting the customer that an error has been made. The DTC mode in the OBD is available to check which error codes have been set and how may times each error code has been set.

  1. Press the RCL button one time to display "E- -01", then use the SEEK rocker button to tab through all of the possible error codes (E- -01, ..., E- -09). At each error code, use the RCL button to display the number of times the error has occurred. Press the AM/FM button to return back to display the error code. Once the error code is again displayed, press the SEEK rocker button to check another error code.
  2. When you are finished checking the error codes, press the AM/FM button until DTC is again on the display.

The following is the list of all possible error messages along with the probable causes and procedure to correct the problem.

Tape Errors (E- -01, E- -02, and E- -03)

Possible Causes

Procedure

E- -01 (Tape EJECT Error)

The tape is tangled in radio.

This could be caused by a dirty tape or a dirty radio tape unit. Clean the radio tape player and discard the damaged tapes.

Tape label is caught in radio.

The result would be the tape player won't eject tapes or it won't accept tapes. Remove the peeled label.

Tape player failure

  1. Go to Chart 5.
  2. If unable to correct the problem, replace the radio.

E- -02 (Tape PLAY Error)

Tape is tangled in radio.

This could be caused by a dirty tape or a dirty radio tape unit. Clean the radio tape player and discard the damaged tapes.

Tape is too long for radio.

Ensure that tape is not longer than 90 minutes.

Tape is damaged or dirty.

This could cause poor sound, channel low or no sound, or weak treble. Clean the radio tape player and discard the damaged tapes.

Tape player failure

Refer to Chart 5.

  1. Go to Chart 5.
  2. If unable to correct the problem, replace radio.

E- -03 (Tape INSERTION Error)

Tape is badly damaged or dirty.

This could cause poor sound, channel low or no sound, or weak treble. Clean the radio tape player and discard the damaged tapes.

Tape is too long for radio.

Ensure that tape is not longer than 90 minutes.

Tape is tangled in radio.

This could be caused by a dirty tape or a dirty radio tape unit. Clean the radio tape player and discard the damaged tapes.

Tape player failure.

  1. Go to Chart 5.
  2. If unable to correct the problem, replace the radio.

In-Dash CD Player Errors (E- -04, E- -05, and E- -06)

Possible Causes

Procedures

E- -04 (CD EJECT Error)

The CD is warped or cracked.

    • Check the CD.
    • Remove the burrs.
    • Avoid using cracked or deformed CDs.
    •  If using an 8 cm (3 in) disc -- Check for proper installation on the adapter.
    • Avoid using 8 cm (3 in) adapters with broken hooks.

The CD player opening is blocked by foreign material.

  1. Remove the foreign material.
  2. If material can't be removed, replace the radio.

CD player failure

  1. Go to Chart 6.
  2. If unable to correct the problem, replace radio.

The CD is scratched.

The CD will skip around, eject unexpectedly, eject right after loading, or mute intermittently.

    • Check the CD for dirt, scratches, or pinholes.
    • Wipe the dirt off with a soft cloth in a straight line from the center hole outward toward the edge. Avoid using a chemical cleaning cloth, benzine, thinner, spray, etc.
    • Avoid touching the signal surface of the CD because thick fingerprints and scratches will interrupt the readout.
    •  Avoid using scratched or damaged CDs.

The CD is dirty.

Clean the CD. Refer to Radio/Audio System Description and Operation .

CD optical focus assembly failure (if from condensation)

Turn on car blower motor to evaporate the condensation. Wait to play the CD player for about 60 minutes so the dew can dry up after blower motor is turned on.

E- -05 (CD PLAY Error)

The CD is scratched.

The CD will skip around, eject unexpectedly, eject right after loading, or mute intermittently.

    • Check the CD for dirt, scratches, or pinholes.
    • Wipe the dirt off with a soft cloth in a straight line from the center hole outward toward the edge. Avoid using a chemical cleaning cloth, benzine, thinner, spray, etc.
    • Avoid touching the signal surface of the CD because thick fingerprints and scratches will interrupt the readout.
    •  Avoid using scratched or damaged CDs.

The CD is dirty.

Clean the CD. Refer to Radio/Audio System Description and Operation .

CD optical focus assembly failure (if from condensation)

Turn on car blower motor to evaporate the condensation. Wait to play the CD player for about 60 minutes so the dew can dry up after blower motor is turned on.

CD player failure

  1. Go to Chart 6.
  2. If unable to correct the problem, replace the radio.

E- -06 (CD INSERTION Error)

The CD is badly scratched.

The CD will skip around, eject unexpectedly, eject right after loading, or mute intermittently.

    • Check the CD for dirt, scratches, or pinholes.
    •  Wipe the dirt off with a soft cloth in a straight line from the center hole outward toward the edge. Avoid using a chemical cleaning cloth, benzine, thinner, spray, etc.
    • Avoid touching the signal surface of the CD because thick fingerprints and scratches will interrupt the readout.
    • Scratches on the label side will also affect the sound. Avoid using scratched or damaged CDs.

The CD is warped.

    • Check the CD.
    •  Remove the burrs.
    •  Avoid using cracked or deformed CDs.
    •  If using an 8 cm (3 in) disc -- Check for proper installation on the adapter.
    • Avoid using 8 cm (3 in.) adapters with broken hooks.

The CD is upside down.

The CD will eject right after loading. The CD should be installed label side up.

CD player failure

  1. Go to Chart 6.
  2. If unable to correct the problem, replace the radio.

CD Changer/Player Errors (E- -07, E- -08, and E- -09)

Possible Causes

Procedures

E- -07 (CD Changer/Player COMMUNICATION Error)

The CD changer/player connection is disconnected.

Check the connection.

The CD changer/player jumper is shorted, open, or damaged.

Check for shorts/open/damage in CD changer/player jumper.

The CD changer/player is not getting power.

Check the fuse. Check the terminal contact and for shorts/open/damage in CD changer/player jumper.

CD changer/player failure.

Replace the CD changer/player.

Radio failure

  1. Go to appropriate chart (Chart 7, 8, 9, 10, 11, or 12).
  2. If unable to correct the problem, replace the radio.

E- -08 (CD Changer MAGAZINE LOADING Error)

The CD is warped or cracked.

    • Check the CD.
    • Remove the burrs.
    •  Avoid using cracked or deformed CDs.
    •  If using an 8 cm (3 in) disc -- Check for proper installation on the adapter.
    • Avoid using 8 cm (3 in) adapters with broken hooks.

CD changer/player failure

  1. Go to appropriate chart (Chart 7, 8, 9, 10, 11, or 12).
  2. If unable to correct the problem, replace the radio.

E- -09 (CD Changer/Player PLAY Error)

The CD is scratched or dirty.

The CD will skip around, eject unexpectedly, eject right after loading, or mute intermittently.

    • Check CD for dirt, scratches, or pinholes.
    •  Wipe the dirt off with a soft cloth in a straight line from the center hole outward toward the edge. Avoid using a chemical cleaning cloth, benzine, thinner, spray, etc.
    • Avoid touching the signal surface of the CD because thick fingerprints and scratches will interrupt the readout.
    • Scratches on the label side will also affect the sound.
    • Avoid using scratched or damaged CDs.

All CDs are inserted upside down.

All CDs should be inserted label side up.

CD changer/player failure

  1. Go to appropriate chart (Chart 7, 8, 9, 10, 11, or 12).
  2. If unable to correct the problem, replace the radio.

Test Tone Mode (TT) For AM/FM Cassette/CD Radios

Press the RCL button and the display will show LF. Balance and fade will automatically adjust to the left front speaker. Two test tones will be checked, the first at 100 Hz for 2 seconds, there will be a half-second pause, and then the second tone at 3.0 kHz for 2 seconds. These 2 tones will continue to check the left front speaker until the TUNE rocker button is pressed, which automatically adjusts the balance and fade to the right front speaker. RF will appear on the display and the 2 test tones will check the right front speaker. Press it again to adjust to left rear speaker. LR will appear on the display and the two test tones will check the left rear speaker. Press it again to adjust to the right rear speaker. RR will appear on the display and the 2 test tones will check the right rear speaker. To exit the test tone mode, press the AM/FM button.

If you cannot hear the test tones, turn the volume up by using the volume knob. If either of the test tones is not heard for a particular speaker, refer to the appropriate chart (Chart 2, 3, or 4) to correct the problem.


Object Number: 888742  Size: MF

LCD Segment Test Mode (LCD) For AM/FM Cassette/CD Radios


Object Number: 864063  Size: SH

Press the RCL button and the display will show every possible segment at one time that can be displayed. Refer to "System Checks" section in this service manual to see what should be on the display. If something isn't displayed, replace the radio. To exit the LCD test mode, press the AM/FM button.

Key Test Mode (KEY) For AM/FM Cassette/CD Radios


Object Number: 864083  Size: SH

Press the RCL button to activate the key test mode, then press each button/knob to verify it works. If the button/knob works, a beep will be heard after each button or knob is pressed. If the button/knob does not work, nothing will be heard when the button/knob is pressed. Also, nothing will be heard when the AM/FM button or volume knob is pressed, but performance will be known once the desired functions are chosen. The AM/FM button will take the radio out of the key test mode and the volume knob will take the radio out of the on board diagnostic mode. To exit the key test mode, press the AM/FM button.

Antenna Signal Meter Mode (ANT) For AM/FM Cassette/CD Radios


Object Number: 864066  Size: SH

Press the RCL button to view the antenna signal strength of the last tuned station. The music of the last station will be heard while the signal is continuously sampled and displayed. The signal will continue to be sampled and displayed until the AM/FM button is pressed, returning ANT to the display.

    • Compare the signal strength of two vehicles playing the same station when the vehicles are side by side and use these values to compare for problems with the audio system.
    • If familiar with the signal strength of a particular station, use this value to compare for problems with the audio system.

Clear Diagnostic Trouble Code Mode (CC) For AM/FM Cassette/CD Radios


Object Number: 888571  Size: SH

When CC is on the display, press the RCL button and the display will show "OK?". Then hold down the RCL button for 2 seconds to reset/clear the DTCs. After 2 seconds, an audible tone will be heard and the codes will be reset.

EQ Setting (EQ: 00, EQ: 01) For AM/FM Cassette/CD Radios

Displays which audio system the radio is connected to.

EQ Setting

Audio System Option

EQ:00

Advanced Audio System

EQ:01

Up-Level Audio System

If the EQ setting does not reflect which audio system is in the vehicle, check for proper connection of the appropriate radio connector, fix any problems, and then check the EQ setting.

Remote CD Changer/Player Communication Test Mode (If Equipped) (CDCH) For AM/FM Cassette/CD Radios


Object Number: 888625  Size: SH

Important: If the vehicle is not equipped with a CD changer/player, "Err" will appear on the display, but there is no problem with the system.

When CDCH is on the display, press the RCL button to see if the CD changer/player is receiving messages from the radio. If the CD changer/player does not receive the message, "Err" will appear on the display for 2 seconds, then CDCH will again be displayed. If the CD changer/player does receive the message, OK will appear on the display for 2 seconds, then CDCH will again be displayed.

Chart 1


Object Number: 890895  Size: FP

Chart 2


Object Number: 890900  Size: FP

Chart 3


Object Number: 890903  Size: FP

Object Number: 890905  Size: FP

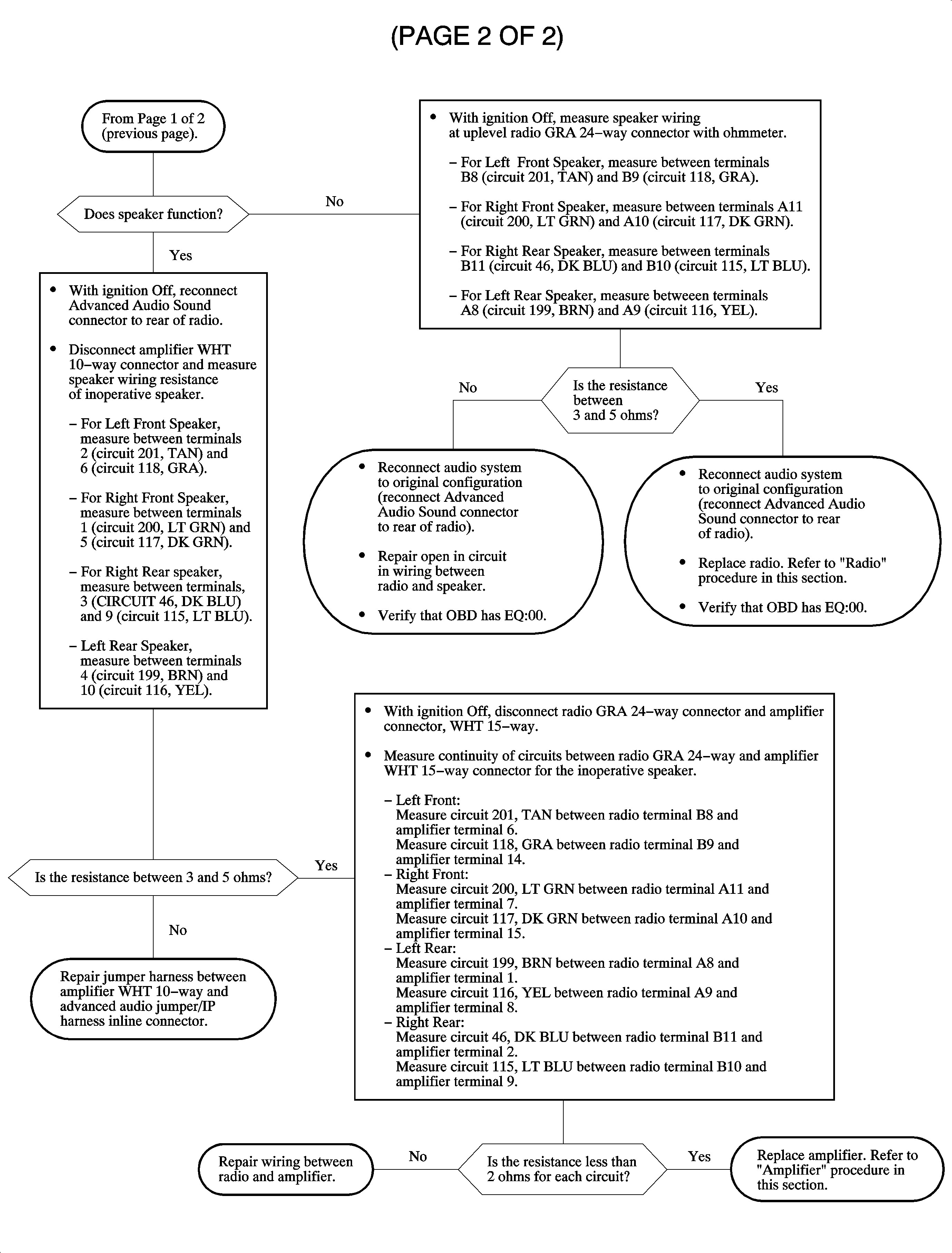
Chart 4


Object Number: 890908  Size: FP

Object Number: 890945  Size: FP

Object Number: 890946  Size: FP

Chart 5


Object Number: 890947  Size: FP

Chart 6


Object Number: 890948  Size: FP

Chart 7


Object Number: 890949  Size: FP

Chart 8


Object Number: 891188  Size: FP

Chart 9


Object Number: 890950  Size: FP

Object Number: 890951  Size: FP

Chart 10


Object Number: 890952  Size: FP

Chart 11


Object Number: 890953  Size: FP

Chart 12


Object Number: 890954  Size: FP