GM Service Manual Online
For 1990-2009 cars only

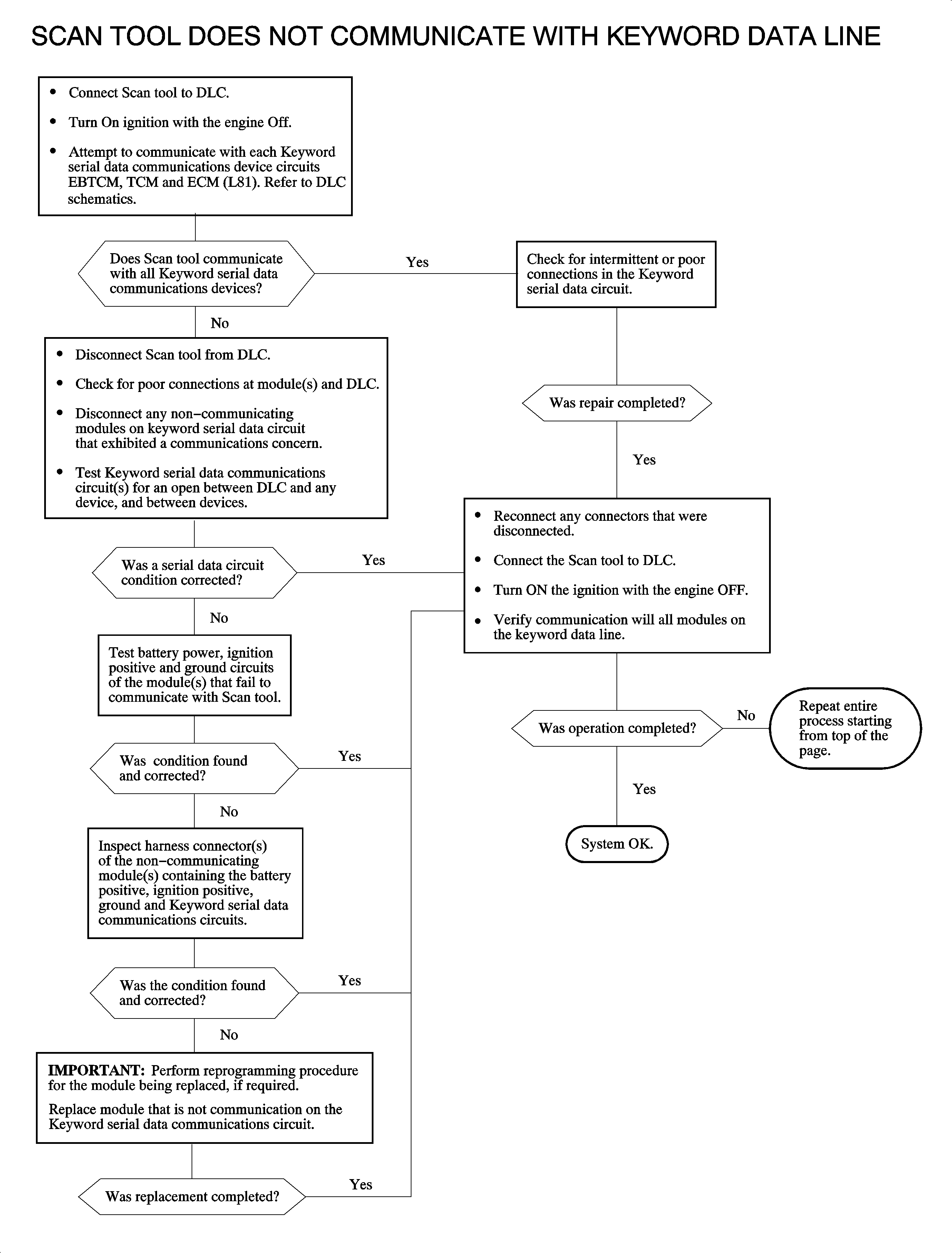
Circuit Operation

Modules connected on the keyword 2000 data line are the engine control module (ECM), electronic brake traction control module (EBTCM), and transaxle control module (TCM). The keyword protocols utilize a single wire bi-directional data line between the modules and the scan tool. The message structure is a request and response arrangement. Keyword 2000 is used for scan tool diagnostic only.

Diagnostic trouble codes (DTCs) may be set due to this symptom and during this diagnostic procedure. Complete the diagnostic procedure in order to ensure all the DTCs are diagnosed and cleared from memory.

Diagnostic Aids

If the malfunction is intermittent, check for poor connections at the suspect module. Wiggling the harness wiring may help in locating the fault.


Object Number: 898573  Size: FP