GM Service Manual Online
For 1990-2009 cars only

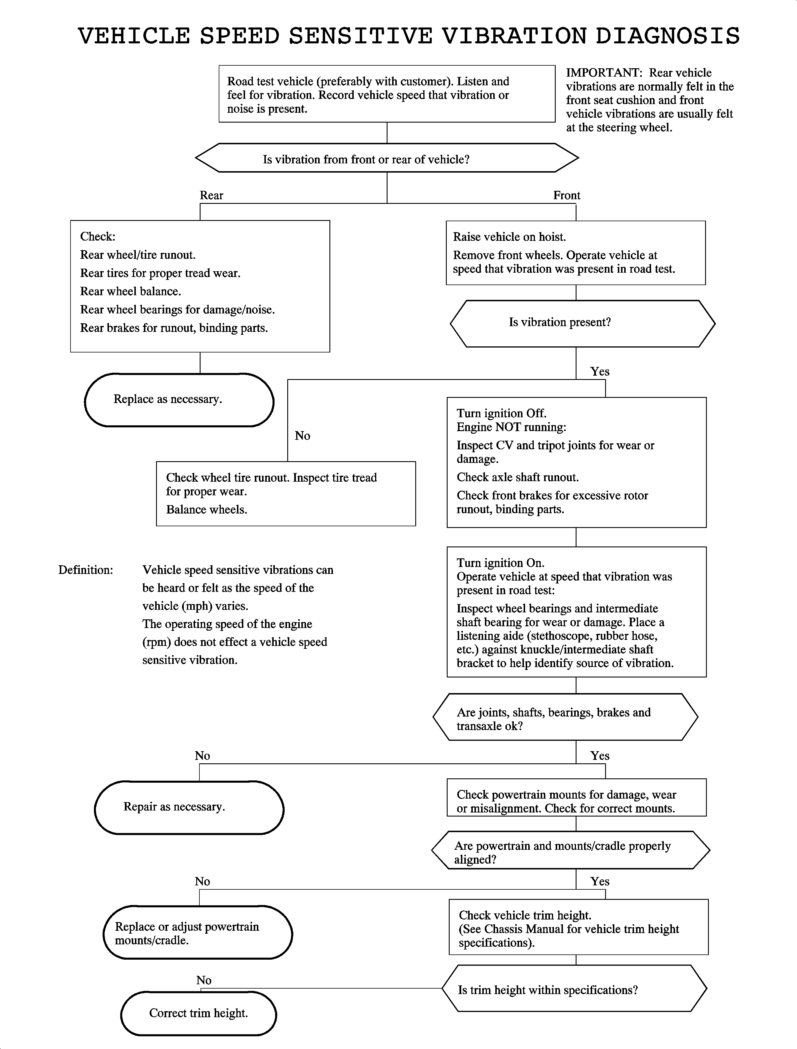
Vehicle-Speed Sensitive Vibration Diagnosis L61

Definition: Vehicle speed sensitive vibrations can be heard or felt as the speed of the vehicle (mph) varies.

The operating speed of the engine (rpm) does not effect a vehicle speed sensitive vibration.


Object Number: 887118  Size: FP