GM Service Manual Online
For 1990-2009 cars only

Definition: Engine speed sensitive vibrations can be heard or felt as engine speed (rpm) varies. The speed at which the vehicle is traveling (mph) does not effect an engine speed sensitive vibration.

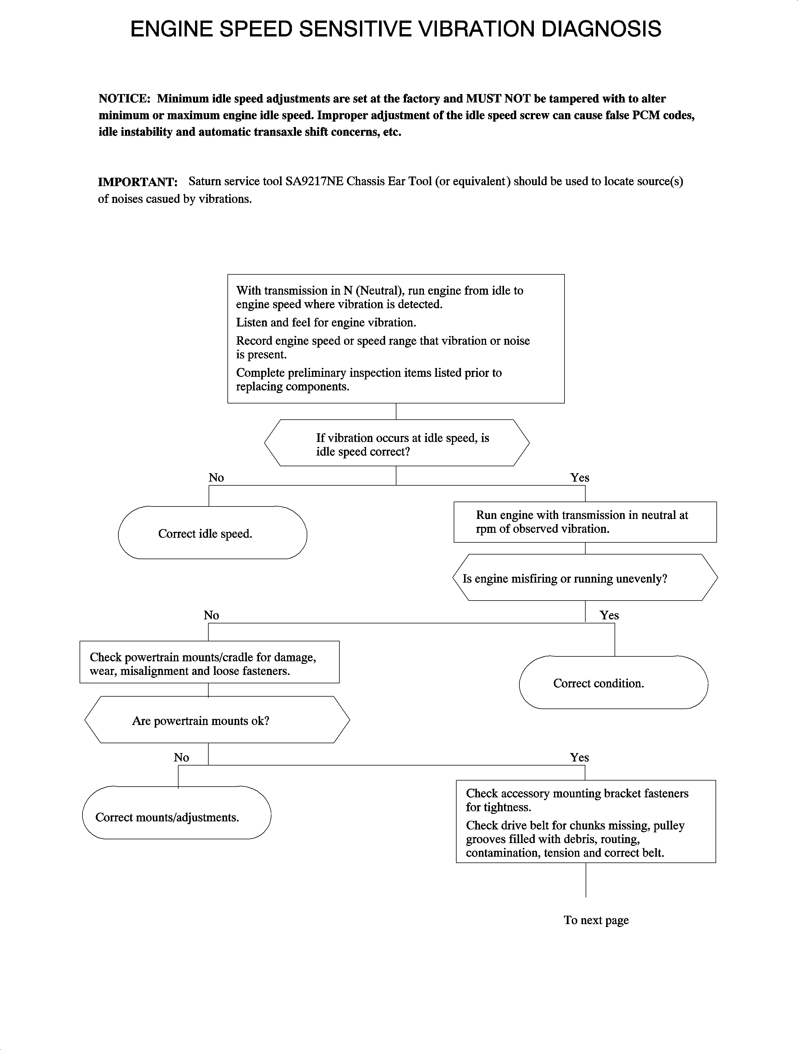
Important: Saturn service tool SA9217NE Chassis Ear (or equivalent) should be used to locate source(s) of noises caused by vibration(s).

Preliminary inspection items:

    • Correct engine mounts must be properly aligned and not pre-loaded. The engine should rock forward and rearward slightly on its mounts.
    • Check engine mounts for damage and wear.
    • Powertrain cradle alignment to vehicle frame.
    • Exhaust system isolators must be tight and not worn.
    • Muffler hanger must not be binding in support bracket.
    • Coolant module upper L brackets and lower grommets must be properly adjusted and not binding the coolant module.
    • Upper coolant module foam strip and wiring harness must not bind the module. Module must move freely.
    • A/C Compressor suction hose must not contact battery tray.
    • A/C compressor discharge hose must not contact automatic transaxle cooler hoses. Reposition A/C hoses as necessary to prevent contact.
    • Hood latch and stops must be properly adjusted.
    • Accessory drive pulley grooves must not have debris in them.
    • Brake booster check valve not making an intermittent noise.
    • Engine misfire - check diagnostic trouble codes.
    • Engine wiring harness contacting/binding against battery tray.

Object Number: 890128  Size: FP

Object Number: 891509  Size: FP