GM Service Manual Online
For 1990-2009 cars only

We recommend that you regularly inspect your vehicle's tires for signs of wear or damage. See When It Is Time for New Tires for more information.

Tires should be rotated every 5,000 to 8,000 miles (8 000 to 13 000 km). See Scheduled Maintenance .

The purpose of a regular tire rotation is to achieve a uniform wear for all tires on the vehicle. This will ensure that your vehicle continues to perform most like it did when the tires were new.

Any time you notice unusual wear, rotate the tires as soon as possible and check wheel alignment. Also check for damaged tires or wheels. See When It Is Time for New Tires and Wheel Replacement .

Non-Directional Tires


Object Number: 807638  Size: B2

When rotating Goodyear Eagle RSA P245/45R18 non-directional tires, always use the correct rotation pattern shown here.

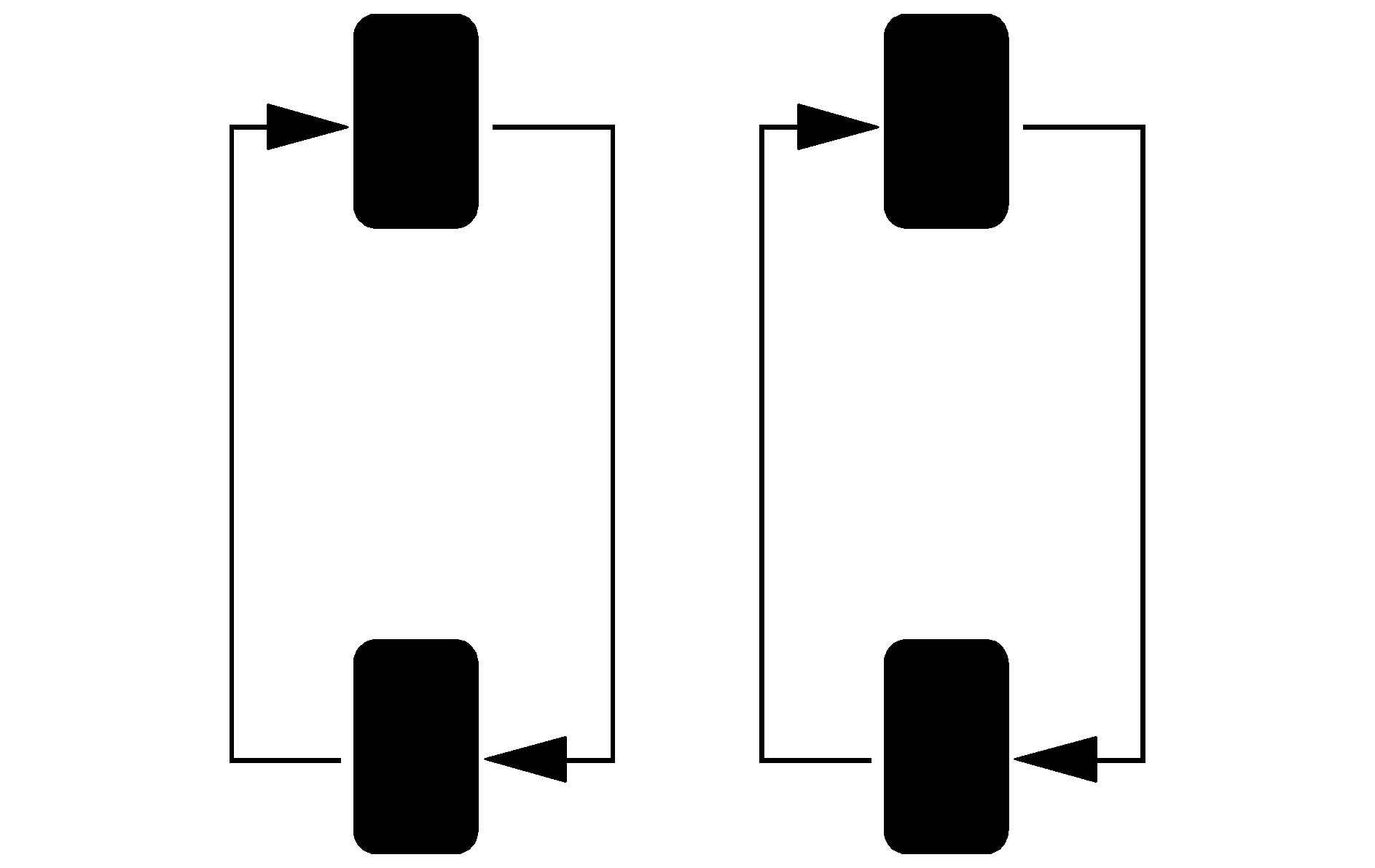
Directional Tires


Object Number: 867773  Size: B3

If your vehicle has Goodyear Eagle F1-GS2 P245/45R18 size tires, they are directional tires and must roll in a certain direction for the best overall performance. The direction is shown by an arrow on the tire sidewall. Because these tires are directional, they should be rotated as shown here. These tires should only be moved from front to rear and rear to front on the same side of the vehicle.

After the tires have been rotated, adjust the front and rear inflation pressures as shown on the Tire and Loading Information label. See Inflation - Tire Pressure and Loading the Vehicle .

Reset the Tire Pressure monitor System. See Tire Pressure Monitor Operation .

Make certain that all wheel nuts are properly tightened. See "Wheel Nut Torque" under Capacities and Specifications .

Caution: Rust or dirt on a wheel, or on the parts to which it is fastened, can make wheel nuts become loose after a time. The wheel could come off and cause a crash. When you change a wheel, remove any rust or dirt from places where the wheel attaches to the vehicle. In an emergency, you can use a cloth or a paper towel to do this; but be sure to use a scraper or wire brush later, if you need to, to get all the rust or dirt off.