Circuit Charts
SYMPTOM
| PROCEDURE
|
All of the windows are inoperative from all of the switches.
| Chart 1
|
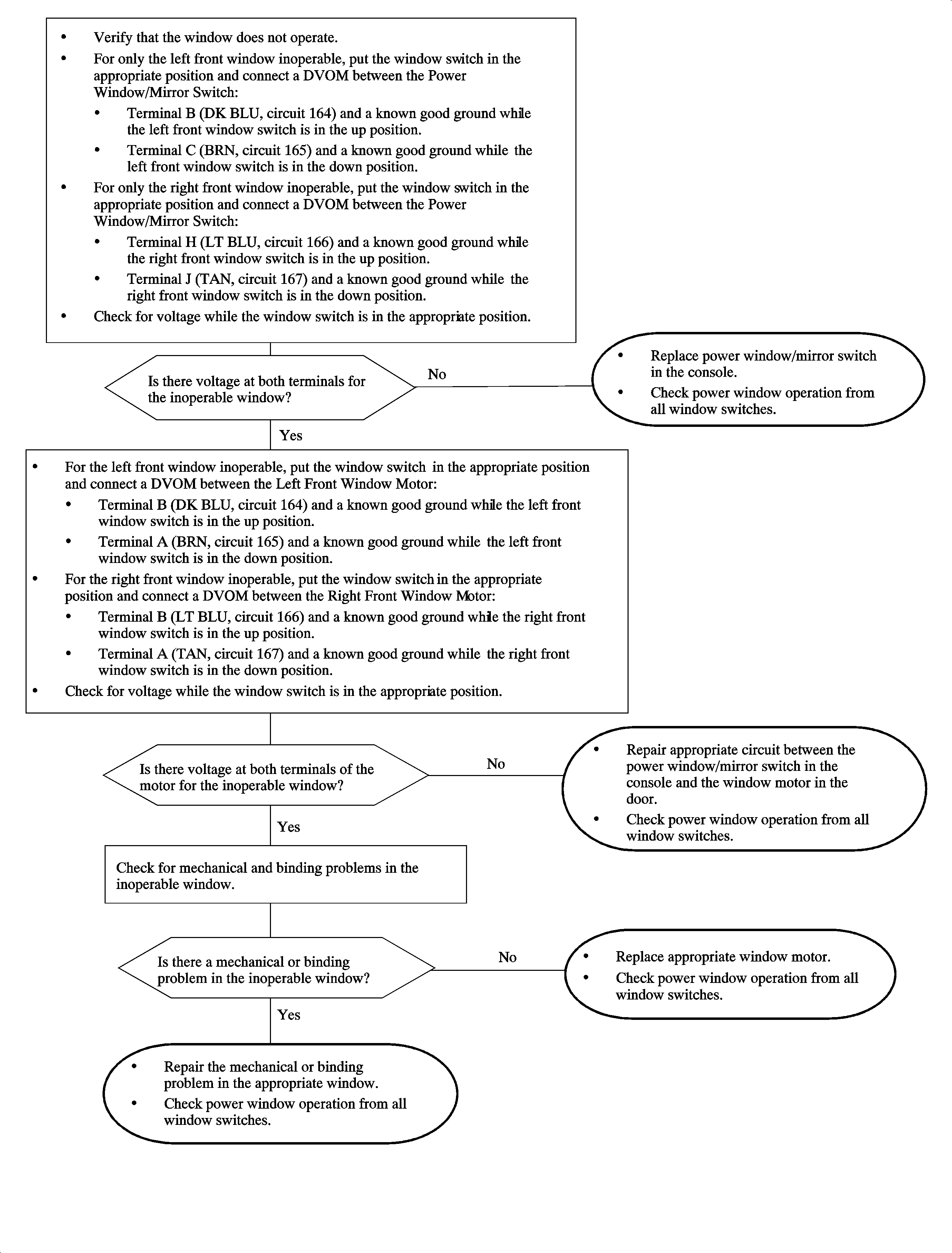
Only the left front or only the right front window is inoperable.
| Chart 2
|
The left rear or right rear window is inoperable from both the power window/mirror
switch in the console and from the rear door window switch (Sedan and Wagon only).
| Chart 3
|
The left rear or right rear window is inoperable from its rear door window switch
only (Sedan and Wagon only).
| Chart 4
|
The left rear or right rear window is inoperable from only the power window/mirror
switch in the console.
| Chart 5
|
Both the left rear and right rear windows are inoperable from the rear door
window switches.
|
| • | Verify that the rear window lockout switch is in the ON position. |
| • | If the rear doors will not function when the rear window lockout switch
is in the ON position, replace the power window/mirror switch in the console. |
| • | Check the power window operation from all window switches. |
|
Rear window lockout switch does not lockout the rear door window switches.
|
| • | Verify that the rear window lockout switch is in the OFF position. |
| • | If the rear doors still function in the OFF position, replace the Power
Window/Mirror Switch in the console. |
| • | Check power window operation from all window switches. |
|
The front window auto down is inoperable.
|
| • | Verify that the auto down feature is inoperable. |
| • | Replace the power window/mirror switch in the console. |
| • | Check the motor and replace if necessary. |
| • | Check for mechanical/binding problems and fix if necessary. |
| • | Check the power window operation from all window switches. |
|
A window will not go down all the way.
|
| • | Check for mechanical/binding problem and fix if necessary. |
| • | Check the ground (BLK circuit 550) between the power window/mirror switch
terminal A and a known good ground. |
| • | Checkthe motor and replace if necessary. |
| • | Check the power window operation from all window switches. |
|