GM Service Manual Online
For 1990-2009 cars only

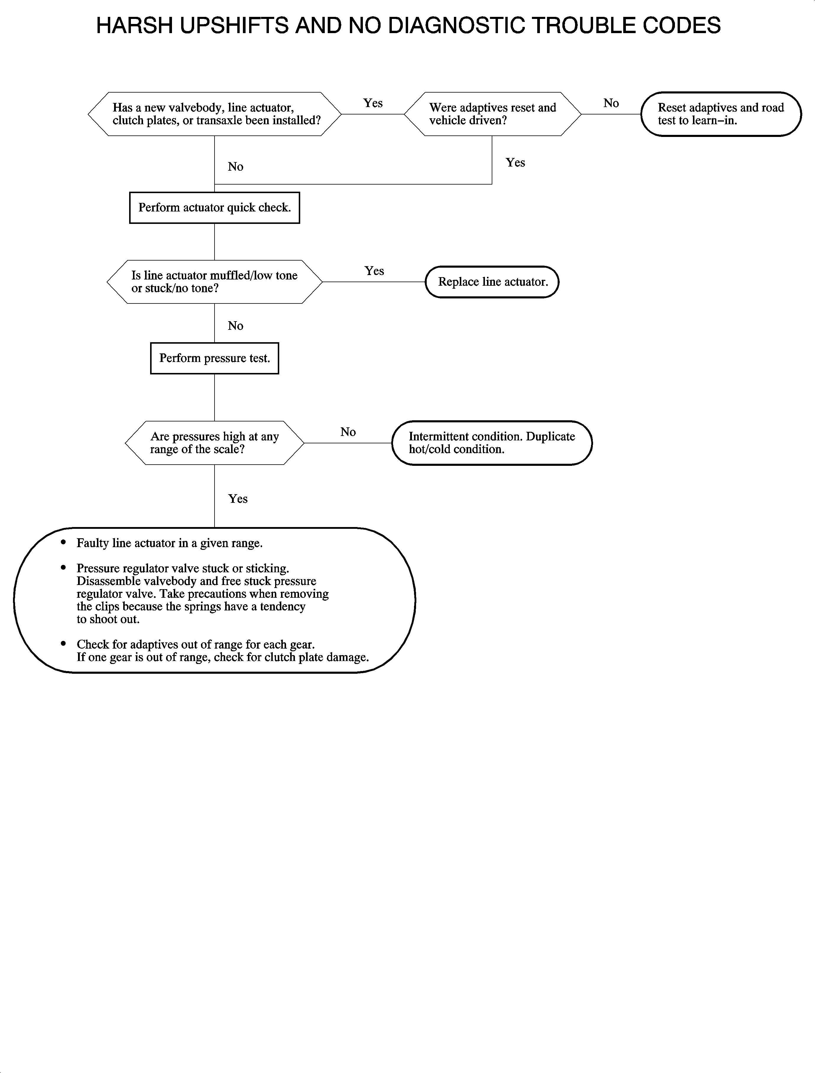
Object Number: 1199124  Size: FP

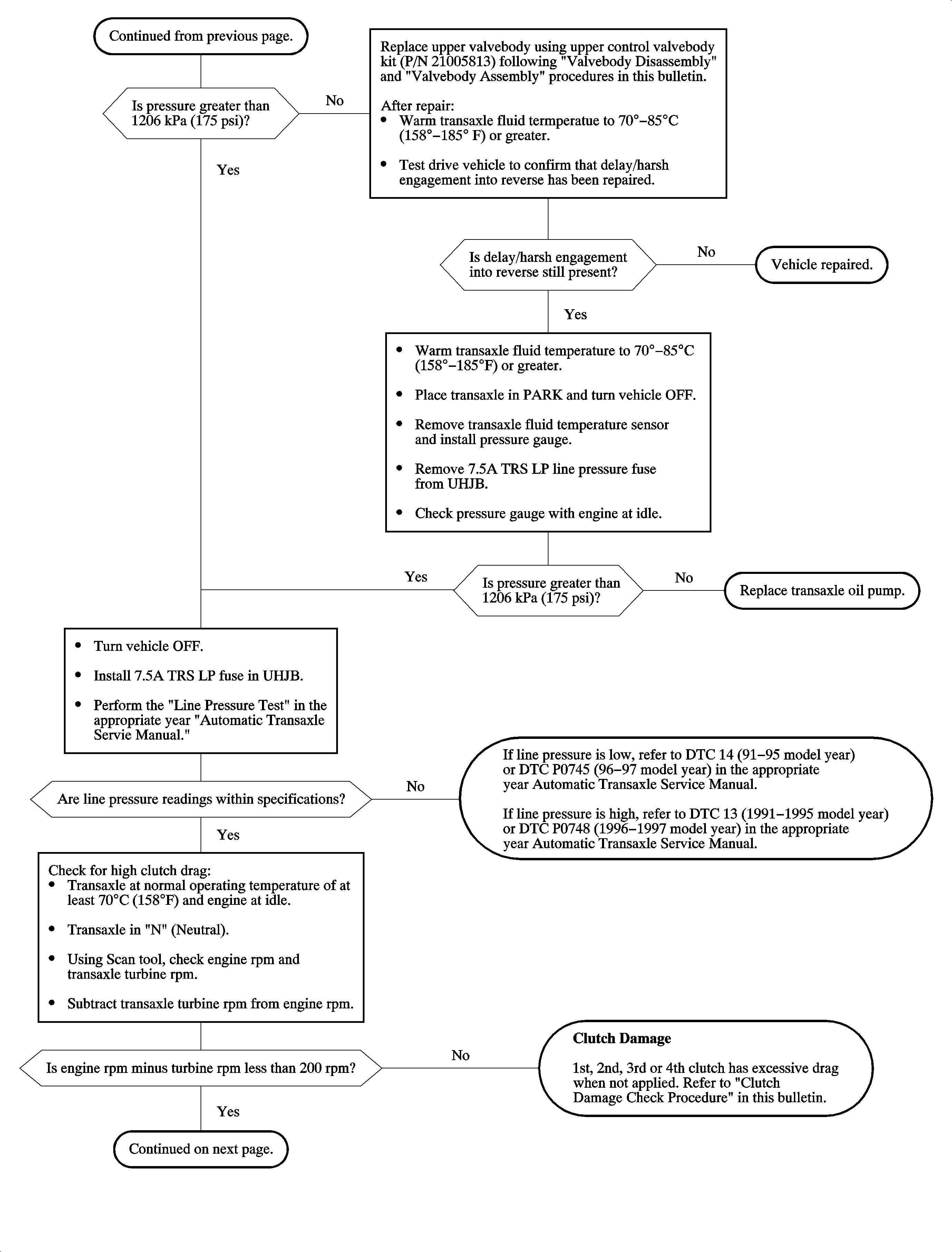
Object Number: 1199182  Size: FP

Object Number: 1199209  Size: FP

Object Number: 1199215  Size: FP

Object Number: 875292  Size: FP